Robert Р. А Ь е 1 s о п.
The Structure of Belief Systems. —
In: "Computer Models of Thought and Language".
Ed. by R. C. Schank and K. Colby.
San Francisco: Freeman, 1973, p. 287—339.
Статья печатается с сокращениями.
© by R. P. Abelson, 1973
в книге
"Язык и моделирование социального взаимодействия", М. Прогресс. 1987
На протяжении последних нескольких лет я вместе со своими учениками и сотрудниками [см. 4; 1; 6J'] пытался разработать F и «выражала» бы ее в форме печатного текста на английском языке при подаче на вход соответствующим образом адресованного печатного же английского текста.
Первая часть данной главы очень кратко характеризует современное состояние системы, а во второй части предлагаются новые рамки для синтезирования структур убеждений в общем случае.
Не раз отмечалось, что большинство самых тяжелых меж- и внутринациональных конфликтов, имевших место в мире, чрезвычайно усугублялись склонностью людей помещать между собой и внешним миром сверхупрощенные символьные системы. Исследователи человеческой природы многократно указывали на существование тенденции окарикатуривать и тривиализировать мотивы и нравы противника и прославлять — но опять же тривиализировать — свои собственные мотивы и нравы. Моя цель заключается в том, чтобы соотнести феномен идеологического сверхупрощения с построениями и данными общей психологической теории. В современной психологии, как экспериментальной, так и социальной, наблюдается сдвиг от бихевиористской сосредоточенности на стимулах и реакциях к гештальтистскому преимущественному интересу к когнитивным возможностям и операциям. Представители экспериментальной психологии говорят при этом об обработке информации, а специалисты по социальной психологин — о когнитивном соответствии (cognitive consistency) п процессах каузальной атрибуции.
Важная общая черта всех исследователей последнего времени — признание того, что, имея дело с изменчивой, непривычной, зашумленной и противоречивой информацией, человек, оказывается подвержен жестким когнитивным ограничениям. Хорошо известны количественные ограничения, кладущие предел способностям человека осуществлять одновременные распознавания в данном чувственном континууме [23], сохранять стимулы в кратковременной памяти [ср. 25, гл. 9] пли конструировать набор категорий некоторого заданного уровня при необходимости упорядочить новый материал для помещения его в долговременную память [21]. С точки зрения восприятия, «лучшими», наиболее упорядоченными и наиболее значимыми считаются те стимулы, которые извлекаются из монолитного множества слабо разнящихся между собой стимулов. При принятии решения на основании путаной, только что полученной информации имеется очень сильная тенденция использовать простейшие правила — действовать как линейный процессор [29; 13]. При формировании впечатления о других людях наличная информация имеет тенденцию усредняться [7], несмотря на то, что при этом она различными способами искажается: например, более ранним сведениям придается больший вес по сравнению с более поздними [18]. Отыскивая с различными прикладными целями закономерности в случайном, люди охотно соскальзывают в направлении упрощающего искажения, приходя к заключениям, очень далеким от объективно истинных вероятностей [19].
От ощущения до восприятия и от восприятия до принятия решения — на всем этом пути наличествуют факторы и ограничения, подталкивающие к сверхупрощению и ошибочным суждениям. Соблазнительно попытаться охватить большую часть такого рода когнитивных сил, постулировав некоторую общую организ-мическую цель, такую, как избегание информационной перегрузки [22]; при этом важно осознавать, что охарактеризованные выше разнообразные системные тенденции присутствуют и тогда, когда мы отвлекаемся от влияния эмоций на человеческое мышление. Сильные аффекты и импульсы действительно могут подталкивать людей к радикально неверному восприятию их окружения. Зная это, исследователи человеческого поведения склонны, однако, допускать обратное — а именно: всякий, кому свойственно глубокое ошибочное символическое видение мира, неизбежно подвержен влиянию сильных эмоциональных факторов. Отсюда — популярность такой области исследований, как психопатология в политике. Едва ли кто-нибудь осмелится утверждать, что на политическое мышление элит или масс эмоции не оказывают никакого влияния. Но задействование эмоций не обязательно — существует множество «холодных» когнитивных факторов, формирующих ошибочные взгляды на мир, и важно понять, как действуют эти факторы. В работе над «Идеологической машиной» («Ideology Machine») наша стратегия заключалась в том, чтобы встроить в эту машину в первую очередь именно когнитивные факторы. Ряд молодых политологов [см. 8; 17; 27] в последнее время приняли аналогичную точку зрения.
«Идеологическая машина» позволяет имитировать реакцию на касающиеся внешней политики вопросы, которая характерна для носителя идеологии правого крыла — т. е. политического ястреба, такого, как Барри Голдуотер. Упрощенная модель «рыцаря холодной войны» хранит эту идеологию в словаре, концептуальных категориях, эпизодах и генеральном сценарии. При внесении в содержимое памяти необходимых изменений та же компьютерная программа может имитировать принципиально различные типы подходов к внешней политике.
Базовый словарь нынешней версии системы включает в себя около 500 существительных и именных групп и около 100 глаголов и глагольных групп. Большинство существительных приписаны к одной или нескольким крупным концептуальным категориям, значимым для системы. Сходным образом и большинство глаголов приписаны к одной или нескольким категориям, таким, как физическое нападение, подрывная деятельность, приход к власти, материальная поддержка и т. д. Для того, чтобы избежать синтаксических сложностей, на нынешней стадии разработки модели в качестве базовой структуры предложения в ней принимается простая последовательность «существительное-глагол-существительное», хотя в случае использования составных глагольных и именных групп при этом возможно появление довольно неуклюжих утверждений. Родовые события репрезентируются в системе путем постановки глагольной концептуальной категории между двумя именными группами. Эпизоды строятся как последовательности (возможно, с множественными ветвями) вероятных родовых событий.
Некоторые из эпизодов весьма замысловаты, некоторые переплетаются друг с другом. Иногда конец одного эпизода представляет собой начало следующего. Мы ни в коей мере не решили всех проблем, связанных с выбором лучшего способа представления для получающегося в результате хитросплетения, однако до известной степени нам удается лавировать в данной проблематике, активно используя понятие генерального сценария (Master Script).
Эпизоды обеспечивают систему убеждений способом, позволяющим ей судить о том, какие виды событий естественным образом сочетаются друг с другом, что, в свою очередь, является тем типом знаний, к которому апеллировали различные принципы и теории когнитивной социальной психологии. В число последних входит принцип когнитивного баланса [15], теория когнитивного диссонанса [11] и т. д. Используемые в них формулировки относились к символической ментальной организации различных сторон социальной действительности — так «называемым» концептуальным правильным фигурам (conceptual good figures [см. 10]) или «молекулам» [1] — однако все названные теории тяготели к излишним ограничениям на разнообразие охватываемого ими когнитивного материала. Понятие же эпизода с точки зрения допускаемых им типов символических отношений является чрезвычайно общим; кроме того, оно вводит в рассмотрение временную последовательность, в которой встречаются эти отношения, — важная черта, не принимаемая в расчет другими принципами.
Устройство когнитивной системы должно, конечно, зависеть от функций, которые она будет выполнять. Итак, что ожидается от такой системы? Существует немало соблазнительных возможностей, однако разумная и достижимая первоначальная цель заключается в том, чтобы получить систему, способную осмысленно отвечать на ряд вопросов сообразно с ее убеждениями. На настоящий момент нами рассмотрены следующие типы вопросов, предназначенных для интервьюирования системы (символом Е обозначено некоторое потенциальное событие, а символом А — некоторый субъект внешней политики):
Работа над первым вопросом, тестом на правдоподобие события, потребовала от нас определенных затрат времени. В нынешней версии правдоподобие оценивается путем проверки того, может ли быть тип родового по отношению к данному событию быть опознан системой, и если да, то путем последующего поиска в памяти специфического события в прошлом, в. некотором смысле сходного с данным событием. Требовать, чтобы тип родового события опознавался системой, значит предполагать, что некоторые родовые события ею не понимаются, немыслимы, так сказать, в ее философии. Классический «рыцарь холодной войны» полагает, что некоторые классы событий абсолютно невозможны *. Так, по его мнению, коммунистические страны никогда не защищают нейтральные государства, а страны «свободного мира» никогда на нейтральные государства не нападают и не ведут против них подрывной деятельности. Враг нападает и подрывает стабильность, а мы приходим на помощь, и никогда наоборот. Если «рыцарю холодной войны» будет предъявлено такое утверждение, как «Соединенные Штаты принесли смерть и разрушение в Южный Вьетнам», он сразу же сочтет его ложным и невероятным. Я подозреваю, что склонность отвергать некоторые потенциальные события «с порога» является очень существенной чертой всех жестких идеологических систем.
Второй тип вопросов: «Если (когда) произойдет Е, что случится?» — отчасти более интересен с точки зрения вызываемых им процессов, и именно здесь при поисках ответа используется генеральный сценарий. У «рыцаря холодной войны» генеральный сценарий только один. Пользуясь им, отвечать на вопросы: «Если (когда) произойдет Е, что случится?» —легко. С точки зрения правого политика, «когда „свободный мир" использует свою мощь, „комми" бывают разбиты. Когда „свободный мир" не использует свою мощь, заговоры „комми" приносят им победу». И так далее. Каждая из ответных рамок хорошо специфируется путем отсылки к пронумерованным ветвям генерального сценария. Каждая начальная ветвь — за одним интересным исключением, к которому мы еще вернемся,— задает по одной такой рамке. Это делает возможной простую трехшаговую процедуру ответа на вопрос. Получив событие Е, программа определяет тип родового по отношению к Е события и соотносит этот тип с ветвью генерального сценария. Ответ начинается с отсылки к этой ветви, для чего используется подходящая ответная рамка. Однако на уровне гене-
* Характерно, что, хотя Р. Абельсон и критически настроен к аргументации «рыцаря холодной войны» типа Барри Голдуотера и к его базовому понятийному словарю, он все же в дальнейшем остается в рамках тех же ограниченных и искаженных представлений о сути политического мышления в ядерную эпоху. — Прим. ред.
рального сценария ответ обычно бывает чересчур абстрактным, и программа возвращается к более конкретному уровню эпизодов, пытаясь заполнить ответную рамку специфическим содержанием, релевантным для события Е. Ниже приводится ответ «рыцаря холодной войны» на вопрос: «Что случится, если коммунисты нападут на Таиланд?» Ответ выглядел следующим образом: «Если коммунисты нападут на Таиланд, они захватят власть в застигнутой врасплох стране, если только Таиланд не обратится-з а- помощью к Соединенным Штатам и Соединенные Штаты не придут-на-помощь Таиланду». В кратком описании нецелесообразно останавливаться на деталях, касающихся того, что программа включает в каждое предложение, а что оставляет за его пределами. Достаточно заметить, что «Таиланд» упоминается в ответе трижды, а «застигнутая врасплох страна» — один раз. Давая ответ, программа, так сказать, водит пальцем по вопросу, хотя уклончиво общий и более или менее независимый от входа ответ правого политика здесь также был бы уместен: «Если коммунисты нэпа- дут на Таиланд, они одержут победу, если только мы чего-нибудь не предпримем». Когда и в какой степени следует быть конкретным в ответе — это своеобразная и увлекательная проблема, лежащая на границе психолингвистики и исследования систем убеждений, проблема, с которой мы столкнемся снова во второй части данной главы.
Вернемся к утверждению о том, что определенные ветви генерального сценария не могут служить началом некоторых ответных рамок. У «рыцаря холодной войны» имеются две ветви, которые репрезентируют ценностные рубежи — конечные «добро» и «зло», проникновение мыслью дальше которых не является, по его мнению, необходимым. Один из этих рубежей — конечное «добро», полная победа «свободного мира» над «коммунизмом», другой — конечное «зло», полное господство коммунистов в мире. Задав вопрос «Если наступит окончательный триумф «зла», то что будет после?», нельзя рассчитывать, что правый политик даст сколь-нибудь содержательный ответ. «Мы не должны допустить торжества зла» — это его естественная реакция, направленная скорее назад, от ценностного рубежа, нежели вперед, за него. Горизонт генерального сценария, так сказать, ограничен генеральными ценностями, и корабль мысли не может его преодолеть, не потеряв управления. Идеологические противники (например, участники движения за мир и оголтелые ястребы-антикоммунисты) не только резко расходятся в том, какие состояния мира они рассматривают в качестве монументально хороших или дурных, но даже оказываются не в состоянии договориться, какие из выходящих за ценностные границы вопросов вообще могут быть заданы. В конечном итоге мы надеемся закодировать в виде генеральных сценариев ряд идеологических систем с целью их сравнения. Задача сравнительного изучения идеологических систем может решаться независимо, в то время как работа над деталями воплощения какой-то одной имеющейся системы будет продолжаться. Наша нынешняя версия еще не настолько совершенна, чтобы подвергнуться в какой-либо форме тексту Тьюринга — человек в одной: комнате, компьютер в другой и арбитр, который по ответам в печатной форме на его вопросы должен определить, кто есть кто2. В значительной мере это объясняется тем, что система не обладает адекватным пониманием деталей той действительности, которая служит основой для ее ответов. Концептуальный и лингвистический миры системы не безукоризненны в формальном отношении. В дальнейшем мы обратимся, посвятив этому большую часть главы, к рассмотрению регулярных структурных характеристик, которые следует постулировать для систем убеждений вообще, возводя их на надежной концептуальной основе.
Как успехи, так и неудачи в создании имитационной модели побудили нас пересмотреть представления о структурном устройстве систем убеждений. Очевидная действенность идеи генерального сценария заставила задуматься о том, как можно охарактеризовать абстрактные, «широкозахватные» структуры в общем виде, допуская варьирование содержания систем убеждений. Затруднения, с которыми модель сталкивается на уровне детальной характеристики событий, также породили вопрос о том, как могла бы выглядеть более удачная концептуальная репрезентация событий. Любое изменение модели в «нижней» части структурной иерархии систем убеждений естественным образом имело бы следствия в том, что касается расширения модели «наверху», и в результате мы оказались в таком положении, когда желательной представляется фундаментальная структурная перестройка на всех уровнях.
Результат такой перестройки и представлен в этой части работы. Мы разработали развитую систему упорядоченных взаимосвязей между несколькими структурными уровнями, постепенно строя их от самых конкретных к самым абстрактным.
В ходе такого построения мы широко использовали аппарат концептуально-зависимостного (КЗ) анализа Роджера Шенка [26]. Он играет существенную роль в построении надежного концептуального фундамента на уровне подробностей устройства событий. В отличие от Шейка, однако, мы в большей степени сосредоточиваемся на отношениях между КЗ-структурами, нежели на внутреннем представлении этих последних. В результате наша нотация иногда расходится с шенковской — в основном скорее из соображений удобства, чем в силу теоретических разногласий. Например, репрезентируя обладание деятелем F знания, скажем, о нахождении объекта X в месте β, мы для краткости используем простой предикат с атрибутом «знает», а то, что известно, сокращается в содержимое скобок:
Корректная КЗ-диаграмма выглядела бы более сложно: X
LOC
(ДОЛГОВРЕМЕННАЯ ПАМЯТЬ)
L0C(
β
)
poss
F
Другой пример различия — использование нами простой записи для инструментального падежа, где мы обозначаем только используемый при осуществлении действия инструмент вместо того, чтобы анализировать, каким образом этот инструмент используется, как это делает Шенк. Мы также привлекаем такие понятия, как «доступ», «близость», которые пока не подвергались КЗ-анализу; мы используем то, что в дальнейшем называется «направленным перемещением» — dtrans — как общее представление для вариантов перемещения, обозначаемых глаголами go 'идти; ехать', move зд. 'двигать частью тела', propel 'прикладывать силу к чемулибо; продвигать'; отличной от используемой Шенком является и наша репрезентация для want 'хотеть, желать'. (Для нас более важна целенаправленная деятельность, которой кладет начало «желание», чем состояние удовольствия, достигаемое при его
удовлетворении .)
Мы надеемся, что читатель проявит снисходительность к этим незначительным расхождениям. Как система, описанная в настоящей главе, так и система, представленная в 5-й главе книги
Шенка {26], находятся в развитии. Неясно, может ли быть разработана репрезентационная схема, которая свободно допускала бы все те вольности, которые я намерен себе позволить, и в то же время в полной мере сохраняла бы теоретическую цельность КЗ-анализа; в равной мере нельзя выяснить без значительных совместных усилий и то, каково бы могло быть окончательное решение при выборе наилучшего способа анализа одного и того же понятия (например, 'желать'). С уверенностью можно лишь сказать, что в намерения автора входило создание системы, совместимой с КЗ-анализом, поскольку последний интуитивно удовлетворителен как сам по себе, так и по отношению к целям настоящей работы.
Мы предлагаем следующую схему, которая включает шесть уровней сложности структур, идентифицируемых в системах убеждений. Единицы каждого уровня в соответствии с особыми правилами вступают в структурные связи, образуя единицы следующего, более высокого уровня.
1. Элементы. Простейшие единицы, базовый лексикон системы.
2. Атомы. Простые структуры элементов, связанных в КЗ-диаграмму. Мы постулируем три типа атомов: Р — репрезентируют замысел (purpose) или предрасположенность, А — действие, S — состояние.
3. Молекулы. Соединения Р-, А- и S -атомов, удовлетворяющие соответ ствующим ограничениям на связи Р—А, А— S и Р— S. Молекула обозначает действие, предпринятое некоторым деятелем с замыслом достичь некоторого состояния.
4. Планы. Молекулы из более чем трех атомов, по особым правилам объединенных в цепочки или иные конфигурации. Посредством плана коди руется тот факт, что выполнение замысла часто требует набора последова тельных и/или параллельных действий.
5. Темы. Взаимозависимые молекулы или планы двух различных дея телей. Одни деятели могут играть различные роли в планах других; деятели могут позитивно или негативно относиться к планам друг друга и иметь или не иметь влияния на чужие планы. Комбинации этих возможностей дают Основание для построения таксономии тем.
6. Сценарии. Последовательности тем, в которых участвуют деятели из одного и того же множества, взаимозависимости между которыми меняются от одной темы к другой; развивающиеся «истории» возможных изменений в отношениях между деятелями.
Ниже мы детально описываем правила, по которым структуры каждого уровня комбинируются для образования структур последующего уровня. В идеале нам хотелось бы, чтобы эти структур-ные правила были независимыми от содержания; реально почти гак дело и обстоит, и те случаи, когда правило приходится специфицировать относительно конкретного содержания некоторой еди-ницы системы убеждений, специально оговариваются. Для иллюстрации правил при этом используется небольшое количество содержательных типов. Система в целом, правда, носит предварительный характер в том плане, что в дальнейшем мы можем оказаться вынуягдены пополнить ее, чтобы охватить содержательные типы, отличные от рассмотренных к настоящему времени.
Правила композиции для атомов разных типов по необходимости оказываются несколько различными.
1. Атомы действия (А-атомы). А-атом (action 'действие') образуется любой концептуальной зависимостью, в состав которой входит связь «деятель—действие», обозначаемая двойной двусторонней стрелкой; А-атом может также включать в себя необходимый для спецификации действия набор концептуальных падежей— в их число входят Объектный (О), Инструментальный (И), Директивный (Д) и Рецептивный (Р) падежи. Этими средствами задается, но терминологии Шенка, «главная линия» концептуальной зависимости. Использования атрибутивных падежей, выражающих отношения обладания, дислокации и содержания (чего-либо в чем-либо), вообще говоря, не требуется; не используются при построении атомов и каузальные отношения.
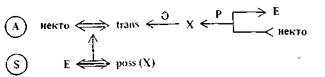
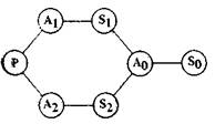
Часто встречающимся в составе других структур является такое действие, как перемещение в пространстве, или «trans». Обозначив символом Е («Эго») основного деятеля в концептуальной структуре, можно изобразить А-атом, в котором Е выступает реципиентом объекта X, следующим образом:
![]()
Рис. 3
(Заключительная стрелка указывает на то, что при перемещении может оказаться необходимым инструмент Y. Некто1 и не-кто2 — неспецифицированные деятели: соответственно, тот, кто осуществляет перемещение, и тот, кто первоначально обладал Х-ом.)
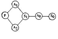
Другой важный класс образует trans' ы , характеризуемые, допустим, передвижением из некоторого места а в место β:
* Описание уровпя элементов у Абельсона отсутствует; подробная его характеристика имеется в переведенной на русский язык первой обобщаю щей публикации группы Р. Шенка [30]. Там же с большой детальностью описан и уровень атомов. — Прим. сост.

Рис. 4
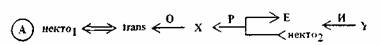
Очень важен в нашей схеме А-атом, репрезентирующий предложение деятеля Е другому деятелю F выполнить действие В, соответствующее замыслам Е. В общем случае это предложение подкрепляется социальными или несоциальными стимулами или угрозами, которые мы в дальнейшем обозначаем как «посул» («offer») Q.

Рис. 5
2. Атомы состояния (S -атомы). Простой S -атом описывает состояние (state), в котором находится некоторый деятель или вещь — либо сами по себе, либо по отношению к другим объектам. Например:

Рис. 6
Здесь необходимо пояснить нотацию. Кружки с буквой, а при необходимости и с индексами внутри обозначают S -атомы (аналогично обозначались А-атомы выше и будут обозначаться P -атомы ниже). Двусторонняя тройная стрелка — это шенковс-кая нотация для «нахождения в определенном состоянии». Сокращение «poss (X)» используется вместо «обладать Х-ом». Наконец, термин «агент» используется в нашей системе специальным образом. Когда F принимает предложение Е выполнить действие В, он становится агентом Е (в отношении действия В). В условиях двустороннего общественного договора обе стороны вступают в отношения, делающие их агентами друг друга3.
3. Атомы замысла (Р-атомы). Р-атомы (purpose зд. 'замысел')* образуются из действия «желать» некоторого деятеля путем указания желаемого состояния. (В качестве желаемого состояния могут выступать любые конструкции, являющиеся S -атомами, хотя в составе Р-атома эти конструкции описывают скорее предполагаемый будущий результат, чем действительные состояния.) Так, например, мы можем записать:

Рис. 7
Деятели, фигурирующие в верхних и нижних линиях записи, могут различаться:

Рис. 8
Б. СВЯЗИ МЕЖДУ А- И S -АТОМАМИ
Будем говорить, что А- и S -атомы связаны, если А-атом находится в каузальном отношении к описываемому S -атомом состоянию. Определить сущность каузального отношения нелегко, по скольку оно зависит от содержания той или иной концептуализации (выражения на языке концептуальных зависимостей). Скольнибудь глубокий анализ каузации не входит в данной главе в наши планы, однако мы приведем некоторые типичные примеры Простейшим случаем является тавтологическая каузация: Е получил от кого-то объект X и в силу этого обладает им:

Рис. 9
* Автор отличает purpose как состояние желания от goal как желаемого состояния; goal, соответственно, переводится в дальнейшем как цель. — Прим. перев.
(напомним, что в шенковской нотации на причину указывает острие тройной стрелки, а не ее хвост).
При другом содержании концептуализации для усмотрения каузального отношения могут понадобиться специальные условия. В частности, так обстоит дело при репрезентации естественных следствий употребления некоторых объектов: единственным условием каузации при этом является осуществление действия, характеризуемого достаточными количественными или силовыми параметрами:
|
|
рис. 10
Любая когнитивная система, естественная или искусственная, должна, предположительно, содержать определенное количество таких каузальных парадигм, поскольку они определяют существенные свойства объектов и субстанций, проявляющиеся как активно, так и реактивно. Не исключено, что они могут храниться более экономно, чем это следует из приведенных примеров (так как не от одного лишь виски наступает опьянение); представляется, однако, что они едва ли могут быть выведены или «вычислены» на основании других структур. Они, так сказать, являются концептуальными постулатами.
|
|
Рис. 11
Некоторые каузальные конструкции реализуются в более сложных условиях. Что необходимо, например, для «легитимизации» следующей структуры связей?
Другими словами, при каких обстоятельствах исходящее от Е предложение выполнить действие В, адресованное F и сопровож даемое стимулами или угрозами Q, заставляет F принять это предложение и стать агентом Е при выполнении действия В? К счастью, мы не обязаны отвечать на этот вопрос в его бихевиористской форме, то есть рассматривать реальное поведение. Нас интересует только идеализованная, когнитивная форма вопроса: в каких условиях автор приведенной концептуализации мог бы предполагать, что F примет предложение?
Хотя можно представить себе самые разнообразные осложняю щие обстоятельства, но в общих чертах очевидно, что F примет предложение в том случае, когда несомненная положительная значимость Q для него много больше несомненной отрицательной значимости совершения поступка В. Иногда может оказаться так, что F уже решил для себя проблему квантификации, назвав «свою цену»: в наиболее утрированном случае поступок В заключается в том, что Е вручает F некий объект X, на что F соглашается при том условии, что Е вручит ему объявленную цену R этого объекта. Посему условием будет Q>=R. При отсутствии подобной естественной квантификации можно попытаться построить шкалу полезности или, проще, положиться на небольшой набор упорядоченных ценностных категорий. Так, можно постулировать, что стимулы, позволяющие договориться о скромных одолжениях, скромны, тогда как серьезные услуги нуждаются в серьезных стимулах.
Интересно, что в этом последнем примере каузального постулата условием каузации является соотношение весов двух количественных параметров, в то время как в предыдущих примерах оговаривался вес лишь одного количественного параметра. Как мы увидим в дальнейшем, требованиями к весомости параметров условия каузации не исчерпываются, однако подобные «весовые» условия с очевидностью являются очень распространенными.
В. ОТ АТОМОВ К МОЛЕКУЛАМ
Будем говорить, что три атома — Р, А и S — образуют Р—А— S -молекулу, если выполнены следующие три условия на попарные связи атомов:
(PS). S -атом есть состояние, связанное с действием «желать» в Р-атоме.
(AS) . А-атом каузально связан с S -атомом.
(РА). Деятель в составе А-атома есть агент (в отношении действия А) деятеля в составе Р-атома. (Замечание. Деятель всегда может быть своим собственным агентом, однако для того,
чтобы агентом выступило некоторое другое лицо, должны быть выполнены специальные условия.)
Условие (PS) можно свести к условию (S), переписав послед нее следующим образом: «А-атом каузально связан с состоянием, связанным с действием «желать» в Р-атоме». Поэтому, если бы мы заботились об экономности аксиоматики, то можно было бы ограничиться двумя условиями. Но это неявным образом лишило бы S -атомы всякой независимой роли, а для нас более удобно таковую роль сохранить.
Молекулярная единица передает идею действия, предпринятого для достижения некоторой желанной для инициатора действия цели. Молекула — существенно важная деталь при построении всех систем убеждений, в которых усматривается смысл в целесообразной деятельности индивидов, организаций и правительств — или даже одушевленных сил природы или богов.
В высокой степени «связная» природа молекулы М
очевидна из представления ее в виде КЗ-диаграммы.

Рис. 12
Три горизонтальные линии репрезентируют здесь соответственно мотивацию, действие и цель; диагональные (одинарная, двойная и тройная) связи представляют соответственно замысел, агентность* и каузацию. Три деятеля Е, F и G могут полностью различаться, полностью совпадать или совпадать попарно. (Было бы интересно, хотя мы здесь этого и не делаем, проследить спе цифические характеристики пяти возникающих при этом возможностей — ЕЕЕ, EEF, EFE, EFF, EFG.)
Хотя в приведенной выше краткой форме диаграмма выглядит элегантно, при необходимости дополнить ее указаниями на различные концептуальные падежи она становится громоздкой. Поэтому мы используем иерархическую нотацию: атомы записываются отдельно как КЗ-диаграммы, а молекулы репрезентируются цепочками атомарных символов. Например:
* Поскольку понимание автором
термина «агент» отлично от принятого в синтаксической семантике, производный
термин
agency
передается в
переводе как «агентность», а не «агентивность». — Прим. перев.

Рис. 13
В следующем разделе простая цепочечная нотация расширяется с целью приспособления ее к более сложно устроенным молекулам.
Г. ОТ АТОМОВ К ПЛАНАМ
Планами в нашей репрезентационной схеме называются молекулы, усложненные по сравнению с простыми Р—А— S цепочками. Необходимость в таком усложнении возникает прежде всего тогда, когда встает вопрос о том, в состоянии ли главный деятель Е добиться реализации своего замысла непосредственно. Если для достижения цели требуются промежуточные шаги, молекула подлежит расширению. Дополнительные усложнения возникают тогда, когда к цели ведут альтернативные пути или когда целей оказывается более одной. После предварительного обсуждения мы рассмотрим поочередно ряд таких возможностей.
Очень часто простая молекула конденсирует в себе представление о целесообразном поведении, существенные, но неинтересные детали которого опускаются. Например, можно предполагать, что лицо, страдающее от головной боли, имеет доступ к аспирину (поскольку это распространенное лекарство), и концептуализирующий не обязан вообще-то задумываться о том, не иссякли ли запасы аспирина и не закрылись ли все аптеки. Если, однако, имеются свидетельства, заставляющие предполагать наличие таких затруднений (скажем, если имеются сведения о том, что жертва головной боли стучится в соседнюю квартиру), то тогда представление о поведении больного может легко быть расширено с тем, чтобы учесть подобные виды деятельности, которые находились бы к деятельности, завершающей его замысел, в инструментальном отношении. A fortiori, если сразу было ясно, что осуществление изначального намерения основного деятеля будет сопряжено со сложностями (как, скажем, в случае попыток
Ральфа Нейдера захватить контрольный пакет акций «Дженерал Моторс»), то концептуализирующий должен будет расширить молекулу с тем, чтобы включить промежуточные шаги, ведущие к
цели.
Независимо от того, была ли необходимость промежуточных шагов очевидна с самого начала или же она неожиданно выявилась позднее, мы называем расширенную молекулу «планом». Уместно заметить, что лет десять назад книга Миллера, Галанте-ра и Прибрама под названием «Планы и структура поведения» [24] вызвала широкий отклик в среде психологов именно потому, что в ней была подчеркнута важность долго игнорировавшегося понятия планирования — однако нельзя сказать, чтобы за ней поспешили появиться дальнейшие теоретические и эмпирические исследования по этой тематике. Недавно взрыв интереса к планированию имел место среди исследователей, работающих в области искусственного интеллекта, что, в частности, проявилось в использовании Виноградом рудиментарного языка Хьюитта [16] PLANNER, а также в элегантной системе управления «рукой» робота в игрушечном мире трехмерных объектов [28]. Хочется надеяться, что нам удастся подогреть интерес к проблеме планирования. Хотя мы и не вдаемся непосредственно в выяснение того, как разрабатывает свои планы планировщик, и интересуемся скорее тем, как должен воспринимать планировщика сторонний наблюдатель, — тем не менее у нашего исследования имеются вдохновляющие точки соприкосновения с работами Винограда и других специалистов по искусственному интеллекту.
Для опеределения планов нам необходимо понятие S -атома, который «обеспечивает возможность» («enables») А-атома. Отношение обеспечения возможности*, не рассматривавшееся в явном виде у Шенка, может встречаться по крайней мере в двух вариантах;
i) Инструментальный контроль. Деятель из А-атома репрезентируется в составе S -атома как обладающий (одним или несколькими ) предусматриваемыми А-атомами инструментами, имеющий доступ к ним и/или возможность ими воспользоваться. Различные типы действий предусматривают и различные типы инструментального контроля.
и) Общественный договор. Деятель из А-атома репрезентируется в составе S -атома как агент некоторого деятеля из предшествующего в цепочке атома. [...]
* При переводе производных от глагола enable существительных и причастий дополнение возможность иногда опускается. — Прим. перев.
Обратимся теперь к рассмотрению различных разновидностей планов.
1. Цепочка . Цепочка — это план или расширенная молекула М, состоящая из чередующихся А- и S -атомов, следующих за исходным Р-атомом и удовлетворяющих нижеперечисленным усло виям:
а) заключительный S -атом цепочки представляет состояние, связанное с элементом «желать» в Р-атоме;
б) каждый А-атом каузально связан с последующим S- атомом;
в) деятель в составе каждого А-атома является либо деятелем из исходного Р-атома, либо агентом деятеля из предшествующего А-атома (или из Р-атома при отсутствии предшествующих А-атомов);
г) каждый S -атом «обеспечивает возможность» последую щего А-атома.
Последнее условие апеллирует к новому понятию обеспечения возможности, тогда как первые три лишь расширяют первоначальный набор условий для формирования молекулы.
Порядок
цепочки
— это количество входящих в нее А-атомов,
отличных от конечного
(завершающего). Простая Р—А—
S
-моле-кула тем самым является
цепочкой нулевого порядка. Цепочка первого порядка такова.
|
|
Рис. 14
Каждая А— S- п apa, вставленная в цепочку, увеличивает ее порядок. Условимся в дальнейшем индексировать А и S в восходящем порядке справа налево, поскольку кажется естественным двигаться мысленно от цели назад, проходя необходимые предварительные шаги.
Каждый S -атом, обеспечивающий возможность последующего действия в силу общественного договора, должен предваряться действием-предложением (proposal action), в рамках которого посредством посулов, сопровождаемых стимулами или угрозами, складывается отношение агентности. Каждый S -атом, обеспечи вающий возможность последующего действия в силу инструмен тального контроля, предваряется инструментальным действием (instrumental action). Из этого следует, что порядок цепочки ра-
вен количеству действий-предложений плюс количество инстру ментальных действий и что каждый «серийный план» (цепочка) может быть задан последовательностью частных действий-предло жений и инструментальных действий, предваряемых замыслом и завершаемых итоговым действием. Опосредующие S -атомы могут быть выведены из соседних А-атомов и в этом смысле избыточны; если стремиться к экономии, то их можно опустить.
2. Деревья
. В ходе краткого
обсуждения цепочек читатель мог бы задать себе вопрос: часто ли может быть так,
чтобы возможность А-атома
обеспечивалась бы одним-единственным
S
-атомом?
Вполне
вероятно, что не часто. Тем не менее, существуют примеры, когда нет необходимости
в планах более сложной структуры, чем
цепочка, несмотря даже на наличие множественных состоя-ний-обеспечителей
(enablers),
связанных со
всеми или некоторыми А-атомами. Для того
, чтобы показать это, установим сперва,
что нотацией для множественных обеспечителей будет
просто веер
S
-атомов,
расположенных слева от А-атома, возможность которого они обеспечивают,
например:
|
|
Рис. 15
Заметим теперь, что не все состояния S1, S2, S3 (и т. д.) должны достигаться через посредство действий главного деятеля. Отдельные состояния могут быть по отношению к нему экзогенными, то есть быть обязанными своим существованием внешним факторам и не требовать вмешательства главного деятеля. Например, одним из обеспечивающих условий направленного перемещения является наличие у деятеля доступа к инструменту совершения этого действия. Если перемещение заключается, скажем, в поездке в близлежащий город общественным транспортом, то доступ к таковому транспорту не будет (в норме) предметом особой заботы, и условие окажется удовлетворенным извне.
Мы репрезентируем эту
возможность коротким непомеченным
стебельком, присоединяемым слева к
каждому из экзогенных со
стояний. Так, схема
|
|
Рис. 16
представляет план, в котором деятель осуществляет (с помощью экзогенного условия S4) действие А2, достигая состояния S2 , которое (совместно с экзогенными условиями S1, S3) обеспечивает возможность действия A1, а это последнее приводит к заключительному состоянию So.
Все структуры, подобные приведенной, мы называем «деревьями», следуя стандартному использованию этого термина в теории графов [14]. Мы здесь имеем дело с очень простым классом деревьев; удаление всех экзогенных S -атомов неизбежно сводит любое такое дерево к простой цепочке. Поскольку ни одна из боковых ветвей дерева не содержит А-атомов, мы можем вполне аккуратно определить порядок дерева как число действий-предложений плюс число инструментальных действий и утверждать, что каждое дерево может быть задано последовательностью частных действий-предложений и инструментальных действий (возможность каждого из которых может обеспечиваться любым числом экзогенных состояний), предваряемых замыслом и завершаемых итоговым действием. Это утверждение фактически тождественно сделанному выше относительно цепочек, и дополнительные условия (а), (б), (в) и (г), данные для цепочек, сохраняют силу и для деревьев.
Примером дерева может послужить приводимая ниже в подробностях
последовательность, репрезентирующая «нахождение объекта
X».
Предположим, что главная цель Е — иметь
X:
|
|
Рис. 17
(Нижнюю строку мы обозначим So). Двинемся теперь назад. Одна из концептуальных возможностей получения объекта заключается в том, чтобы найти его:

Рис. 18
Символом О/ ооозначена некоторая нулевая (с точки зрения концептуализации) личность, а инструмент, названный «искателем», может представлять собой самые разнообразные инструменты или их наборы, от лопаты до водолазного колокола.
Для обеспечения возможности физического перемещения требуются два атома:
|
|
Рис. 19
Мы снабжаем S1 маленьким стебельком с целью указать на тог что Е (допустим) уже имеет доступ к Y; сильной формой доступа будет обладание (см. S3 ниже), и мы можем предположить, что у Е есть Y (скажем, прожектор).
Для достижения S2 потребно инструментальное действие; вероятнее всего, деятелю Е надо будет доставить Y к месту, где находится X:
|
|
Рис. 20
имволом β здесь обозначено ближайшее к X место, символом α — есто, откуда движется Е. Обратимся к спецификации обеспечи-чощих условий для направленного перемещения*:
Ргох — элемент КЗ-языка, обозначающий пространственную близость ух или более объектов. — Прим. Перев
|
|
Рис. 21
Рассмотрим эти состояния ло очереди. Сперва отметим, что часть условия S3, «E обладает Е», выполнена по определению, а другая часть, «Е обладает Y-qm», аналогична S1, и это условие мы в дан ном примере полагаем экзогенным. Будем также считать, что выполнено условие S4 (скажем, у Е имеется лодка, единственное подходящее средство для поисков пещеры близ берега подземной реки — места, где находится X.) .
В иллюстративных целях предположим, что S5 не экзогенно и что Е вначале не располагает знанием о местонахождении Х-а (то есть о том, что X находится в β). Новые проблемы возникают в связи с условиями S6 и S7. Едва ли изящно было бы считать их экзогенными и полагать, что нахождение вблизи от транспорт ного средства, «искателя» и исходного (а позднее конечного) пункта типично для деятеля. Для простоты, однако, мы были бы склонны допустить, что выполнение этих условий не является проблематичным, и что деятель не столкнется с особыми затруд-нениями, собирая себе снаряжение (раз он имеет к нему доступ) или направляя свое транспортное средство в ближайшее к X- у место (если S5 было полностью выполнено, и деятель знал, где X расположен). Поэтому мы на время отложим вопрос о том, как интегрируются S6 и S7 в полную диаграмму, пометив это вопро-сительными знаками на их стебельках; впоследствии эти знаки
будут сняты.
Прослеживая план еще на один шаг назад, поинтересуемся какое инструментальное действие могло бы вызвать S5. Для того чтобы Е узнал β (X) , должна иметь место некоторая форма ментального перемещения (mtrans) — скажем, об этом ему дол жно было сообщить какое-то другое лицо F*:

Рис. 23
Мы полагаем, что S 8 , S 9 и S 12 экзогенны, а достижение состояний S 10 и S 11 (хотя способы его и не указаны) не сопряжено с проблемами, подобно тому, как это было с S 6 и S 7 . F может, вероят-о, воспользоваться одним из многих средств передачи информа-ии — если захочет. Это последнее соображение напоминает нам том, что поскольку деятелем в А 2 является F, а не Е, то для ого, чтобы возможность А 2 была обеспечена, должен иметь мес-о общественный договор:
Для этого в свою очередь, Е должен предпринять действие-предложение, некоторыми стимулами побуждая F к вступлению в договор:
|
|
Рис. 24
*
U — носитель информации, Н* – сообщение, рассматриваемое как к опия» информации, передаваемая ее получателю без того, чтобы сама ин- формация Н покидала бы свое первоначальное местонахождение, как это им еет место при других типах trans'o в — Прим. перев.
|
|
|
Рис. 25 |
Инструментальный контроль, необходимый для А3 — (сто состояние:
|
|
Рис. 26
Условие S14 мы полагаем экзогенным, и таким образом дерево план для разбираемого примера приобретает следующий вид
:
|
|
Рис. 27
Если данная диаграмма производит хаотичное впечатление. то это потому, что план как таковой может быть назван продуманным лишь тогда, когда все в нем детально оговорено: Е должен предложить F некие стимулы с тем, чтобы заставить его сообщить место р, где находится X, чтобы Е мог направить транспортное средство Z в р и с помощью инструмента Y найти X Структурные позиции в плане могут быть заполнены различным концептуальным материалом. Выделенные курсивом глаголы отсылают к действиям A3, A2, A1, А0, к «сердцу» (или, лучше сказать, «позвоночнику»?) плана. Остальные структурные компоненты имеют дело со знаниями об обеспечивающих условиях и о доступе к тем или иным объектам, с мелочами, которые должны быть выполнены, чтобы план удался, но которые при неформальном обсуждении часто остаются имплицитными.
Деревья, репрезентирующие осуществление той же цели другими средствами или осуществление каких-то других целей, сво бодно могут быть доведены до такой же или большей степени детализации, хотя концептуализирующий вполне может сократить или опустить неинтересные части любого плана. Секрет достижения столь большой детальности без концептуальной перегрузки заключается в том, что каждый фрагмент дерева строится по простым, твердо усвоенным концептуальным правилам, план же в целом конструируется путем конкатенации фрагментов.
3. Сети . Более сложные по сравнению с деревьями планы возникают в силу того, что существует несколько осмысленных способов определить ветвящиеся структуры так, чтобы в результате возникла возможность появления циклов (петель). Для простоты восприятия мы продолжаем в дальнейшем пользоваться неформальным графическим представлением структур, хотя для техни ческих целей предпочтителен логический формализм типа ЛИСГТ-вотации. Мы дадим обзор типов межатомных связей, упомянутых к настоящему моменту (а—г ), после чего перейдем к рас смотрению новых типов (д—з). Занимающие много места содержательные примеры мы будем опускать, полагаясь на способность читателя домыслить их, основываясь на детальных примерах из предшествующих подразделов.
|
а) |
Рис. 28
|
Предумышленное действие (purposive action). Действие А служит замыслу Р.
|
|
б) |
Рис. 29
|
Каузальная связь (causal linkage). Действие А каузирует результат S, соответствующий замыслу деятеля (см. случай (н) ниже) |
|
в)
|
Рис. 30
|
Обеспечение возможности (enablement). Наличие состояния делает возможным выполнение действия А (подходящим в структурном отношении деятелем). |
|
г)
|
Рис. 31
|
Множественные обеспечители (multiple enab-lers) . Для того, чтобы сделать возможным действие А, необходима конъюнкция состояний S1, S2, ...)• |
|
д)
|
Рис. 32
|
Обеспечение множественных возможностей (multiple enablement). Наличие состояния S делает возможным выполнение (подходящим деятелем) каждого из действий A1, А 2,...
|
|
е) |
Рис. 33
|
Одновременное действие (concurrent actions) . Деятель, имеющий замысел Р, одновременно предпринимает действия A1, А2,...
|
|
ж)
|
Рис. 34 |
Множественные последствия (multiple consequences). Действие А каузирует каждое из входящих в намерения деятеля последствий S1, S2, ... |
|
з)
|
Рис. 35 |
Альтернативная каузация (alternative causation) . Результирующее состояние S каузиру-ется либо действием A1, либо действием А2-
|
|
|
.
Следует заметить, что трактовка ситуации (з) логически отлична от трактовок (г-ж) тем, что первая дизъюнктивна (либо— либо), а не конъюнктивна (и—и), как последние. Причина выбора такой трактовки заключается в том, что возможность достижения цели альтернативными средствами важна, тогда как одновременное использование нескольких сре дств для достижения одной цели менее обычно и при необходимости может быть подведено под понятие «пропускания», или «пропускного режима» (см. раздел 4 ниже).
и) Определение. Сетью называется любая упорядоченная слева направо конкатенация связей типов (а—з), открываемая самым левым Р-атомом (т. е. конфигурацией типа (а) или (е)) и завершаемая одним или несколькими из самых правых S -ато-мов (то есть конфигурациями типа (б), (ж) или (з)). Замечание. Левосторонние связи в сети могут отсутствовать только у Р-атома, а также у экзогенных S -атомов, если таковые имеются. Правосторонние связи могут отсутствовать только у конечного S -атома (атомов). Все А-атомы должны быть как лево-, так и правосторонне связанными. Простыми примерами сетей могут послужить следующие:
|
Рис. 36
|
Деятель добивается двух состояний, относящихся к некоторому одному замыслу, путем одновременных действий.
|
|
Рис. 37
|
Деятель обеспе ч ивает возможность действия А 0 (ведущего к конечной цели So) путем одновременных действий A1 и А2, вызываю щих состояния S1 и S2 соответст венно.
|
|
Рис. 38
|
Деятель каузирует состояние S1 (обеспечивающее возможность действия Ао, которое в свою очередь каузирует So) либо посредством действия А], либо посредством действия А2 |
В последнем примере заключено очевидное логическое затруднение. Петля явно открывается одновременными действиями (ти п(е)), а заключается альтернативной каузацией (тип(з)). Сопроводительный текст уточняет, что предпринимается либо A 1 , либо А 2 , но не оба этих действия одновременно. Такое понимание опирается на следующую
к) Договоренность. Петли, в которых некоторый S -атом имеет более одной левосторонней связи (тип (з)) должны рассматриваться как представления альтернативных путей к цели вне зависимости от возможности усмотреть левее какие-либо одновременные пути.
Заметим, что петли, в которых более одной левосторонней связи имеет тот или иной А-атом (тип (г)), безусловно, остаются представлениями именно одновременных путей.
Теперь мы можем вернуться к одному из вопросов, оставленных открытыми в предыдущем разделе. А именно, обсуждая пример с нахождением предмета X, мы не выяснили, как репрезентировать достижение некоторых состояний, не являющихся экзогенными и не входящих в главную цепочку. Одно из таких состояний, описываемое атомом S 6 , предполагает пространственную близость деятеля, транспортного средства, инструмента-«искате-ля» и исходного пункта, откуда деятель отправляется на поиски. Сетевая репрезентация позволяет с легкостью инкорпорировать S 6 путем введения нового действия А 4 , которым S 6 каузируется. План с опущенными экзогенными и другими проблематичными S -атомамн, выглядит при этом так:
|
|
Рас . 39
Можно сформулировать утверждение, согласно которому любой сети может быть поставлена в соответствие некоторая редуцированная сеть из одних лишь А-атомов, предваряемых Р-ато-мом и ведущих к одному или нескольким S -атомам; заниматься этим здесь мы, однако, не будем.
Для расширения множества возможностей, покрываемых сете образными структурами, представляются потенциально полезными несколько дополнительных типов связей. Четыре из них мы определим здесь, а еще два — в разделе 4.
|
л) |
Рис. 40 |
Каузальная блокировка (causal blockage). Намеренное действие А предотвращает результат S. |
|
м) |
Рис. 41 |
Вчинение помех (vitiation) . Наличие состояния затрудняет осуществление действия А. |
|
н) |
Рис. 42
|
Неизбежное последствие (unavoidable conse quence). Действие А вызывает результат S, не входящий в замысел деятеля.
|
|
о) |
Рис. 43
|
Неизбежная блокировка (unavoidable blockage). Действие А против желания деятеля предотвращает результат S.
|
Эти последние четыре типа не должны бы вообще-то встречаться в идеализированных представлениях планов, осуществляемых под контролем какого-либо одного деятеля (и его агентов). В обычных условиях никто не будет представлять деятеля расстраивающим свои собственные замыслы, за исключением случаев невротического поведения и измененных состояний сознания. Введение указанных типов объясняется в первую очередь тем, что их расширенные варианты будут полезны для следующего раздела.
4. Пропускной режим . Пропускной режим, или пропускание*, — это тип обеспечения возможности, несколько более утонченный по сравнению с разбиравшимися выше. Некоторое состояние может не столько в принципе позволять тому или иному действию осуществиться, сколько определять, может ли то или иное действие приводить к некоторому определенному результату. Мы называем такую ситуацию «пропусканием», метафорически апеллируя к системам управляемых переключателей, заслонок и т. п., контролирующих движение воды, электротока или локомотивов. Мы репрезентируем пропускной режим, изображая S -атом касающимся каузальной связи А— S (тип (б)). Существуют две основные возможности, позитивный и негативный пропускной режим.
* В оригинале используется термин gating, образованный от глагола gate в нестандартном значении "контролировать прохождение через воро- та ". — Прим. Перев
|
п) |
Рис. 44 |
Позитивный пропускной режим (positive gating). Наличие состояния S 2 обеспечивает для действия А возможность вести к состоянию S 1 . (В отсутствие S 2 А могло бы произойти, но оно не привело бы к S 1 ). |
|
р) |
Рис. 45 |
Негативный пропускной режим (negative ga ting). Наличие состояния S2 исключает для действия А возможность вести к состоянию S 1 . (В отсутствие S2 А могло бы произойти и привело бы к S 1 ). |
Несколько примеров помогут продемонстрировать, как понятие пропускного режима применяется к концептуальным струк турам. Во многих планах мы обнаруживаем, что предполагаемая деятельность заранее координируется с облегчающими ее условиями. Когда грабители при налете на банк оставляют снаружи со общника за рулем автомобиля с работающим мотором, то это позволяет такому действию, как выход налетчиков из помещения банка, каузировать такое состояние, как успешное исчезновение с места преступления. Типичная простая структура с пропускным режимом могла бы выглядеть следующим образом:
|
Рис. 46
|
Деятель предпринимает действие А 1 для достижения состояния S 1 с тем, чтобы при осуществлении действия А 0 , это последнее привело бы его к цели S 0
|
Иногда понятие пропускного режима представляется применимым несмотря даже на то, что имеется лишь одно действие, а не два, как в только что приведенной структуре. Способ или мастерство осуществления действия могут допустить или не допустить достижения намеченной цели. Таким образом, мы вводим понятие самопропускания (self-gating) :
|
Рис. 47 |
Действие А (обычно) каузирует состо яние S 1 , необходимое для достижения цели S 0 - Без такой нотации можно было бы обойтись, если бы не те слу чаи, когда пропускающее условие S 1 проблематично — например, когда оно само зависит от еще одного пропускающего условия, достигаемого другим действием (скажем, обучением ремеслу, не обходимому для успешного осуществления А).
|
Возвращаясь к вызывающим затруднения аспектам примера из раздела 2, можно теперь отметить, что в случае S7 мы имеем дело скорее с примером самопропускания, чем с простым обеспечением возможности для действия A1.
|
Рис. 48
|
Деятель мог бы достичь цели S1, если бы стремление к достижению цели So путем действия А0 не блокировало бы с неизбежностью S1.
|
Негативный пропускной режим может предположительно сло житься только в планах деятеля, имеющего двойную цель, когда преследование одной цели как следствие неизбежно блокирует до стижение другой. Типичная простая структура подобного рода такова:
Такого рода структура часто возникает в случаях выбора и кон-фликта.
Ясно, что добавление к множеству структурных отношений (к типам (л—о)) также пропускного режима, существенно увеличивает вероятные трудности структурного характера. Получающиеся в результате конфигурации атомов не покрываются стандартной математической теорией графов. За неимением лучшего термина мы в рабочем порядке назовем их лабиринтами, однако никаких попыток исследовать их абстрактные математические свойства предпринимать не будем.
Теперь мы вполне подготовлены к тому, чтобы обсудить сле дующий уровень в иерархии систем убеждений.
Д. ОТ ПЛАНОВ К ТЕМАМ
Представляя читателю различные типы планов, мы последова тельно выдерживали одностороннюю ориентацию, сосредоточив внимание на главном деятеле. В тех случаях, когда в планах фигурировали агенты, они, приняв однажды предложение главного деятеля, становились частью его плана и не пользовались никакой автономией. Никакие другие деятели, могущие поддержать или расстроить планы главного деятеля, в рассмотрение пока что не вводились.
Но, конечно, убеждения относительно социальной действи тельности должны включать в себя некоторый круг тем . отражающих межличностные отношения сотрудничества и соперничеству Нам хотелось бы разработать их таксономию, построенную на основании структурных средств, которые были введены в предыдущем разделе. В качестве первого шага полезно задаться следующим вопросом: как может проявиться взаимозависимость самостоятельных целей двух деятелей? Ответ, как представляется, предусматривает три возможности: взаимозависимость вытекает из роли, выполняемой одним деятелем в планах другого; из отношения одного деятеля к замыслам или деятельности другого; или, наконец, из возможностей одного деятеля способствовать или препятствовать достижению результатов, к которым стремится другой деятель. Сочетание этих трех переменных определяет своеобразие каждой темы. Мы рассмотрим переменные по порядку, а затем обсудим таксономию, задаваемую различными их комбинациями.
1. Роль в чужом плане. Существуют по меньшей мере три ситуации, в которых деятель может играть некую роль в плане другого деятеля Е: F может быть агентом Е; он может быть вовлечен в план Е как предмет устремлений (goal object) последнего (например, целью Е может быть нанести ущерб F или помочь ему); или же F может быть заинтересованной стороной (interested party), каким-то иным образом непосредственно затрагиваемой при осуществлении плана Е.
Нам будет нужна система нотации, в которую вписывались бы перечисленные возможности. Для обозначения темы мы будем пользоваться буквой Т (при необходимости с индексами), размещаемой слева от фигурной скобки, справа от которой приводятся планы Е и F соответственно. Каждый из них представлен большим квадратом или прямоугольником (символ для плана) таким образом, чтобы впоследствии в эту схему могли быть внесены детали взаимоотношении между планами:
|
|
Укажем теперь способ, которым вводятся указанные три ролевых отношения.
а) Агент. До настоящего времени мы обозначали состояние, в котором F является агентом Е при выполнении действия А, КЗ-диаграммой следующего вида:

При использовании тематической нотации мы всегда в состоянии указать, кто является агентом, поэтому в ней сохраняется только та часть диаграммы, которая расположена справа от тройной стрелки: agent (E; А).
Иногда мы будем обращаться к случаям, в которых то обстоятельство, что F — агент Е, является экзогенным по отношению к тому или иному конкретному плану. Такая ситуация складывается в условиях продолжающихся семейных или профессиональных отношений, а также в дружбе. Обе стороны при этом заранее уверены в своей возможности обратиться к агенту, что отличает данную ситуацию от ad Ьос'ового социального торга, в котором Е встречается с F лишь ради выполнения плана М.
б) Предмет устремлений. Наиболее обычный способ, которымдеятель F включается в план Е как предмет устремлений последнего, заключается в том, что F является деятелем в составе So, то есть в замысел Е входит, чтобы F был счастлив, вознагражден, мертв, унижен и т. п. На время мы отвлекаемся от различий между этими возможностями и просто ставим помету goalob (E; So) справа от обозначающего план F квадрата в записи темы.
в) Заинтересованная сторона. Не являясь ни агентом, ни предметом устремлений Е, F может оказаться «заинтересованной стороной» по отношению к планам Е несколькими разными способами. Предметы, используемые Е в его инструментальных действиях или в завершающем действии в составе его плана, могут фигурировать также и в планах F, как это бывает при соревновании за скудные ресурсы. Или план Е может вызвать в качестве непреднамеренных следствий некоторые состояния и/пли чувства, значимые для F (например, деятельность Е может беспокоить F или открывать для него неожиданные перспективы и т. д.). Третья возможность заключается в том, что F может предвосхитить деятельность Е и выбранные им в качестве целей состояния и пожелать действовать сам с тем, чтобы помочь или помешать Е.
Эти несколько альтернатив имеют на тематическом уровне различные следствия и заслуживают детальной репрезентации. Один нотационный прием заключается в указании атома (атомов) в плане Е, по отношению к которым F является заинтересованной стороной. Таким образом, если F затрагивается действием А]? предпринимаемым Е, мы делаем в плане F помету intpar (E; Aj); е сли F озабочен замыслом Е, мы пишем в плане intpar (E; Р) и так далее. Еще одно нотационное различие указывает на то, является ли заинтересованность данной стороны экзогенной или же она оформляется вследствие выполнения рассматриваемого плана. В первом случае помета «intpar» размещается слева от символа плана, во втором — сверху от этого символа; аналогичная нотация используется для агентности.
2. Отношение к чужому плану (в целом или к его частям).
Отношение деятеля F к связям, вовлекающим его в план Е, может варьировать в широких пределах; в первом приближении можно полагать, что это отношение бывает либо положительным, либо отрицательным.
Агенту может нравиться его роль — потому, что он получает внутреннее удовлетворение, или потому, что вознаграждение за ее выполнение более чем достаточно для компенсации ее негативных аспектов; с другой стороны, агент может не любить свою роль— потому, что ее выполнение поддерживается одними лишь угрозами, или потому, что вознаграждение недостаточно и роль исполняется лишь в силу того, что расторжение общественного договора обходится слишком дорого. Первый случай мы обозначим agent4", второй — agent-.
Деятель, являющийся предметом устремлений другого деятеля, может быть доволен, поскольку сам желает помощи или любви, которыми его намерен одарить другой деятель; с другой стороны, он может служить мишенью неприязненной аффектации или же являющееся целью другого деятеля состояние может быть для него явно негативным. Первую возможность мы обозначим goa-ilob+, вторую — goalob-.
Заинтересованная сторона может иметь шансы на извлечение выгоды из деятельности другого деятеля или быть как-либо иначе позитивно заинтересована в деятельности последнего; с другой стороны, могут иметься шансы пострадать от такой деятельности шли же может наличествовать незаинтересованность в ней. Первое мы обозначаем intpar + , второе — intpar-.
3. Способность облегчать выполнение чужого плана или мешать ему. Существует несколько способов, позволяющих деятелю повлиять на выполнение чужого плана. В общих чертах они параллельны тем способам, которые позволяют деятелю влиять на выполнение своего собственного плана, хотя спектр возможностей здесь шире, поскольку мы должны учесть действия, умышленно препятствующие другим действиям, — аспект, не присущий (обычно) самовлиянию.
Две основные категории развиваются на основе понятий агентности и инструментального контроля.
а) Искажение отношения агентности. Когда F является агентом Е в некотором плане последнего (или во всех его планах), то F обычно бывает в состоянии сорвать план, выполняя свои действия никудышным образом. В качестве более радикального шага он может поставить крест на своем задании, разорвав общественный договор. Эти возможности конечно, становятся более существенными при условии agent", когда у F имеются мотивы для того, чтобы воспрепятствовать выполнению плана. Такое воспрепятствование не входит в число реальных возможностей, находящихся в распоряжении агента, лишь тогда, когда он рассматривается как фигура более или менее беспомощная — либо в силу физических ограничений, либо потому, что имеется достаточно серьезная угроза, полностью удерживающая его от любой попытки проявления несогласия. С другой стороны, может статься, что F будет делать больше, чем положено ему как агенту, что он будет из кожи вон лезть, чтобы ускорить выполнение плана Е. Такое положение дел можно представить себе при условии- agent+, особенно если взаимодействие отмечено и другими позитивными чертами (то есть intpar+ и goalob+) .
б) Автономное инструментальное действие. При наличии отношений intpar или goalob у F может иметься достаточно оснований для вмешательства в план Е. Соответствующие случаи будут представляться всякий раз, когда F участвует в инструментальном действии (действиях), способствующих или препятствующих сложению условий для действий другого деятеля. Вмешательство- может включать передачу информации, предоставление продовольствия, уничтожение мостов, подкуп агентов с целью сорвать выполнение приказов и т. д., и т. п. Весь план F на деле может сводиться к тому, чтобы действиями такого рода помочь осуществлению плана Е или предотвратить его осуществление.
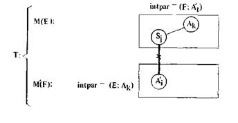
в) Нотация. Во всех случаях, когда имеется возможность повлиять на реализацию чужого плана, мы условимся обозначать атом или атомы, потенциально подверженные влиянию. Такие атомы изображаются внутри прямоугольника, который репрезентирует план подвергающегося влиянию деятеля, и левосторонне связываются с соответствующими атомами в прямоугольнике, репрезентирующем план влияющего деятеля. Наиболее обычными формами связей будут каузальная связь и каузальная блокировка, хотя в принципе могут встретиться любые из означенных в предыдущем разделе отношений.
Допустим, в качестве простой иллюстрации, что действие А', деятеля F блокирует достижение состояния Sj в плане Е (Sj, скажем, является условием, обеспечивающим пространственную близость между Е и некоторым объектом, необходимым ему для дальнейшего действия Ak; деятель F пе заинтересован в том, чтобы Е предпринимал это дальнейшее действие, и поэтому предпринимает действие Ai', чтобы держать критически важный объект вне досягаемости Е — допустим, прячет его). Это репрезентируется нижеследующей схемой, которая отображает также то обстоятельство, что Е приобретает негативную заинтересованность в блокировке действия А i' .

Рис. 51
Необходимо отметить, что мы не расписываем полностью структуры М(Е) или М' (F). тематическом уровне структурной абстракции необходимо репрезентировать только связи между планами, а не планы как таковые, точно так же, как на уровне планов необходимо репрезентировать только связи между атомами, а не сами атомы.
Конечно, более низкие уровни с их большей детальностью потенциально доступны в каждом данном случае для системы убеждений, однако значительная часть концептуальной обработки на каждом уровне абстракции происходит без обращения к нижним уровням.
Если бы структура каждого плана была расписана в деталях, мы получили бы большую молекулу-план с двумя автономными источниками замыслов. Каждая тема является этаким «двухголовым монстром». Концептуальная природа тем чрезвычайно отлична от природы планов в силу наличия таких связей, которые пересекают границы автономии отдельных деятелей, изменяя результат (результаты) деятельности.
Интересны специальные случаи, характеризуемые наличием «внутри» одного и того же деятеля двух источников автономии, как это бывает при раздвоении личности или просто при наличии противоречия между сознательными и бессознательными замыслами, или, скажем, при сосуществовании различных фракций внутри единой политической системы. Может статься и так, что некоторый деятель, излагая другому деятелю свой замысел, имеет в то же время совершенно иной замысел, скрытый от постороннего взгляда. В теме, представляющей последний случай, взаимодействовали бы три плана. Хотя примеры такого типа в этой работе нас занимать не будут, заметим, что все они могут быть репрезентированы с использованием нотации из данного раздела. Это же относится к случаям, в которых фигурируют три или более автономных деятелей.
4. Таксономия тем. В предыдущем разделе мы сконцентрировались на позиции F по отношению к Е. Само собою разумеется, что и Е одновременно может занимать любую из возможных позиций по отношению к F. Допустив свободное варьирование всех трех разобранных выше факторов, определяющих отношение одного деятеля к другому, можно породить великое множество тем. Если мы также примем во внимание то обстоятельство, что в некоторых случаях темы могут различаться в силу содержательных — в дополнение к структурным — взаимоотношений между планами, то набор тем увеличится еще больше. Для того, чтобы получить обозримую таксономию, в этом обширном наборе необходимо выделить какие-то подразделения.
Ниже мы даем иллюстративный пример, показывающий, как может члениться множество типов тем. Это членение не претендует на то, чтобы быть окончательным или исчерпывающим — мы всего лишь высказываем предположение относительно возможной формы, которую могла бы иметь таксономия. Вопрос о том, какую форму она принимает в каждой конкретной системе убеждений,— это вопрос эмпирический, и надо заметить, что любая таксономическая схема будет по необходимости меняться при переходе от одной системы убеждений к другой (хотя некоторые тематические понятия, как мы надеемся показать в ведущемся нами в настоящее время исследовании, вероятно могут быть обнаружены весьма во многих системах убеждений). Одна из функций, которые может выполнять таксономия тем в системе убеждений, заключается в том, что она позволяет «упаковать» множество деталей, пользуясь небольшим количеством «этикеток».
Основные параметры, задающие нашу таксономию, таковы: отсутствие, наличие одностороннего или наличие обоюдного негативного отношения к чужому плану; отсутствие, наличие одностороннего или наличие обоюдного влияния на реализацию чужого плана. Наложение этих двух параметров, каждый из которых принимает три значения, определяет девять клеток Таблицы 1.
Таблица 1 Таксономия тем
|
Чувства по отношению к чужому плану |
Характер влияния |
||
|
Влияние отсутствует |
Одностороннее влияние |
Двустороннее влияние |
|
|
Негативных нет; возможны позитивные Односторонне негативные Обоюдно негативные |
Восхищение (Т5) Отчуждение (а Также Свобода) (Т10) Взаимный антагонизм |
(Ti) Приверженность (Т2) Признательность (Т6) Измена (Т7) Победа (а также Униждние) (Т8) Хосдодство (Т11) Угнетение (а также Правопорядок) |
(Т3) Сотрудниче ство (Т4) Любовь (Т 9) Восстание (Т12) Конфликт |
В каждой из этих клеток помещается по меньшей мере одно название темы; наличие в клетке более чем одного названия указывает на то, что содержательное варьирование или варьирование структурных отношений формирует различные темы.
Еще раз подчеркнем, что таксономическая схема задумана как предположительная, а отнюдь не исчерпывающая. Названия тем не обязательно идеальны. В диаграммах, иллюстрирующих типы тем (на диаграммы указывает индекс при символе Т в Таблице!), мы будем использовать максимально наглядную нотацию, хотя бы она и не являлась единственно возможной. От вопроса о том, где точно проходит концептуальная граница каждой из тем, мы в настоящей работе дипломатично уклонимся, объявив его предметом_ддльнейших детальных исследований.
а) Восхищение. (Admiration) . Когда деятель F испытывает положительные чувства по отношению к деятельности Е, не имея ни малейшей возможности как-либо повлиять на нее, мы можем говорить о теме «Восхищение». Если он намеревается развернуть свою деятельность таким образом, что это позволит нам обоснованно говорить о двух соотнесенных друг с другом планах, то эта деятельность предположительно будет замыкаться в кругу выражения восхищения. Он, например, может выражать свое восхищение третьему лицу или, будучи поклонником спортивной команды, болеть за нее на стадионе.
Тематическая диаграмма в данном случае столь проста и бед- -на деталями, что мы ее опускаем.
б) Приверженности (Devotion) . Эта тема совпадает с темой «Восхищение», за тем исключением, что F имеет возможность от крыто оказать Е помощь, причем он может делать это неоднократно. Тема «Приверженность» может быть представлена следующим образом (квадраты по необходимости вытянуты в прямоугольники; пунктирные линии указывают на наличие других структурных связей, которые пе уточняются):

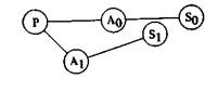
Рис. 52
В этой диаграмме говорится о том, что замысел Р', который имеет F, заключается в оказании Е помощи в осуществлении Р, то есть F является стороной, положительно заинтересованной в по лучении результата So. F планирует множество альтернативных действий А', каузально связанных с обеспечивающими состояниями S, ведущими в конечном счете к завершающему состоянию So. Множество действий А', тем самым, ведет к реализации So', состояния приверженности деятеля F деятелю Е.
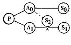
в) Признательность) (Appreciation). В этой теме F столь хоро- _ шо выполняет функции агента Е, что Е прилагает все усилия к тому, чтобы вознаградить F в гораздо большей степени, чем это предполагают условия агентности:

Рис. 53
Эту диаграмму характеризуют следующие признаки: у Е имеется цель So, по отношению к которой действие Aj является инструментальным. Деятель F по отношению к этому действию является агентом, и Е настолько доволен им, что предпринимает действие А, которое в конечном счете помогает F в достижении некоторой другой цели So'. Тем самым реализуется So* — состояние признательности деятеля Е деятелю F. (Не исключено, что действие А могло бы быть представлено в виде множества альтернатив, как в теме «Приверженность», но нам не хотелось бы загромождать диаграмму.)
Между прочим, на приведенной диаграмме (и на некоторых из тех, что последуют ниже), деятельность F по выполнению А не отражена в прямоугольнике для плана F со всей эксплицптно-стью. Это объясняется тем, что F действует как агент Е, а не в порядке осуществления своего собственного плана. Принятые нами правила построения планов позволяют агенту как бы поглощаться молекулой другого деятеля.
г) Сотрудничество При сотрудничестве — по крайней мере, в случае одного из наиболее привычных его вариантов — имеет место совпадение интересов двух деятелей в достижении одной и той же цели (еще одна возможность — взаимный интерес в отношении некоторой пары целей), и каждый из деятелей при этом добровольно помогает другому в достижении общей цели (или каждой из целей, в которых они взаимно заинтересованы). Общая цель не обязана быть конечной в планах сотрудничающих деятелей. Может быть так, что некоторое состояние в равной мере позволяет каждому из них в дальнейшем идти своим путем к различным конечным целям. Если в обычных условиях деятели соперничают, подобная структура будет служить иллюстрацией феномена «с кем только не поведешься», то есть временного и неожиданного сближения интересов. Более обычна такая ситуация сотрудничества, при которой деятели были дружелюбно настроены друг к другу, сотрудничали ранее или предварительно вступили друг с другом в отношения агентности. Приводимая ниже диаграмма для Т3 отражает простую разновидность сотрудничества, складывающегося в силу взаимной заинтересованности в достижении общей конечной цели (рис. 54).
Подробно остановившись на немногих темах, мы пройдемся по некоторым из числа оставшихся кратко, полагаясь на экспли-кационные возможности тематических диаграмм.
д) Любовь. Два партнера разделяют сдвоенную общую цель: счастье для себя и для другого (рис. 55).
е) Отчуждение
(Alienation)
. Деятель
F
негативно заинтересован в осуществлении одной или нескольких целей Е и
желает
Рис. 54

Рис. 55
Рис. 56
предотвратить их осуществление, но не имеет для этого никаких средств (рис. 56: отсутствие пунктирной линии в нижней части диаграммы означает неспособность F реализовать свой замысел). Интересно отметить, что название этой темы, «отчуждение», применимо лишь постольку, поскольку принимается точка зрения F. Если концептуализирующий примет точку зрения Е, то есть деятеля, который волен делать все, что ему заблагорассудится, не опасаясь вмешательства со стороны тех, кому его действия не нравятся, то более подходящим названием может быть «сво бода». Для асимметричных тем вообще характерно, что они заслуживают различных названий с точки зрения различных деятелей, а в заключительном разделе главы мы рассматриваем взгляды познающего на то, какие деятели в его системе убеждений представляются характерными для определенных тем, — нюанс, который здесь, при нейтральной трактовке тем, опускается.
ж) Измена (Ве t гауа l ). Деятель F, открыто согласившийся слу жить агентом Е в действии А], по некоторой причине столь негативно настроен к этой своей роли, что вместо А] предпринимает подрывное действие А]', не позволяя Е реализовать его замысел.
Рас. 57
з) Победа. Предыдущая тема может быть слегка модифициро вана путем изменения ролевой характеристики F: пусть он будет не агентом, а негативно заинтересованной стороной и объектом негативных устремлений. То есть, цель Е заключается в том, чтобы каким-то образом нанести F ущерб или приобрести контроль над ним, однако F удается расстроить этот план. Превентивные действия А' со стороны F мы в общих чертах изображаем как альтернативные, чтобы подчеркнуть то обстоятельство, что F может быть связан в своих действиях определенными обязатель ствами (рис.58). В случае этой темы название «победа» применимо, конечно, лишь с точки зрения F. С точки зрения Е более подходящим было бы что-то вроде «унижения».
и) Господство ( Dominance ). Существенно иной тематический оттенок возникает, когда мы рассматриваем случай, в котором деятель, негативно относящийся к плану другого деятеля, оказывается остановлен в реализации своего замысла, а не останавливает противника (рис. 59).

Рис. 58

Рис. 59
к) Восстание (Rebellion). Этот термин на тематическом уровне означает борьбу, которая может последовать за темой «Господ ство», если слабейшей стороне удастся мобилизовать достаточно ресурсов для того, чтобы отчасти приостановить сильнейшего. (Спо собность тем связно следовать друг за другом дает основание для выделения следующего уровня структурной абстракции — уровня сценариев, разбираемого в следующем разделе; см. рис. 60). В приведенном виде эта тема приписывает пострадавшей стороне F довольно ограниченную цель предотвращения господства Е. Естественное расширение этой скромной темы заключалось бы в том, что F выработал бы дальнейшую цель — сделать так, чтобы Е претерпел ущерб, а Е, в свою очередь, от простой установки на формальный контроль эволюционировал бы к карательной политике (ср. тему «Конфликт» ниже).
л) Взаимный
Антагонизм. Обе стороны резко не одобряют
деятельность друг друга, но ни
одна из них не имеет возможно-

Рис. 60
стей для превентивного влияния на другую. Тематическая диаграмма при этом выглядит успокаивающе (рис. 61):

Puc. 61
м) Угнетение (Oppression). Этот термин, как представляется, используется для отсылки к темам, в которых полное господство сопровождается негативными чувствами со стороны господствующего по отношению к объекту осуществления господства.
Т11: (Модификация T8; например, к плану Е добавляется intpar- (F;S0)).
н) Конфликт. В теме, соответствующей всеобъемлющему конфликту, обе стороны стремятся нанести ущерб противнику и избежать ущерба для себя. Если силы примерно равны, то ни полный успех, ни полная неудача какой-либо из сторон места не имеют. Для репрезентации этого требуется довольно сложная тематическая диаграмма (рис. 62).
Этот пример завершает нашу иллюстративную таксономию тем. Вполне вероятно,
что в дальнейшем может возникнуть необходимость пересмотреть нотацию с целью
сделать ее более аккуратной и точной; в настоящий момент, однако, уместно
перейти к следующему уровню структурной абстракции.

Рис. 62
Е. ОТ ТЕМ К СЦЕНАРИЯМ
Темами кодируются часто повторяющиеся, даже, может быть, стилизованные структуры взаимодействий между индивидуумами, организациями или государствами. Достаточно широко распространенные темы знакомы каждому взрослому человеку в силу того, что ему непосредственно или в символической форме прихо дилось иметь дело со множеством специфических содержательных примеров, воплощающих в себе конкретные тематические последовательности. Некоторые из тематических взаимодействий (например, «Конфликт») могут складываться между многими деятелями, а также возникать между одними и теми же деятелями по многу раз. В различных системах убеждений в качестве типич ных участников подобных тем могут рассматриваться различные деятели, не исключено и варьирование второстепенных структур ных деталей, однако вряд ли можно сомневаться в том, что существует обширный репертуар тем, разделяемых практически всеми системами убеждений.
Различные системы могут расходиться в том, какие тематиче ские структуры они относят к числу менее распространенных, но 'гораздо важнее расхождения во взглядах на. связь тем между собой. Темы улавливают то, что можно было бы назвать_ «дина микой преходящего» — имеются в виду отношения, длящиеся лишь до тех пор, пока выполняются соответствующие планы. После завершения единичной реализации темы ее реализаций в дальнейшем возможны лишь в том случае, если не меняются отношения между деятелями. Часто, однако, можно заранее предвидеть, что как следствие однократной или неоднократной реализа ции темы произойдет изменение отношений между деятелями, и возникнет новая тема.
Существуют разнообразные приемлемые возможности следова ния тем друг за другом, конституирующие долговременную дина мику, которая доступна пониманию системы убеждений. Различные системы убеждений будут в общем случае предполагать раз личные тематические последовательности, или сценарии. Мы приведем небольшое количество простых иллюстративных сценариев, включая генеральный сценарий холодной войны.
Для построения сценариев из тем мы будем использовать простую нотацию. Предположим, например, что за темой «Господство» (Т8) следует тема «Восстание» (Т9). Мы пишем:
Т8(Е;
F)
T9(E;
F).
Деятели указываются в скобках для уточнения, поскольку всегда существует возможность вовлечения в сценарий более чем двух участников. Так, мы можем построить сценарий, в котором господство Е над F вызывает к жизни тему, в которой F господствует над G — хорошо знакомый пример формирования вассальной иерархии (pecking-order) :
T8(
E;F)
T8(F;G).
Стрелка — по сути дела, само понятие сценария —
предназначена для применения только тогда, когда следующие друг за дру
гом темы связаны между собой; случайные или
произвольные последовательности не удовлетворяют этому условию. Сказать, что в
сценарии одна тема каузирует другую, означало бы излишне заузить формулировку,
хотя основная идея и передавалась бы при
этом верно. М
ы
пр
едпочитаем
выражаться следующим образом: в случае сценария следование одной темы за
другой обусловлено природой соответствующих социальных или психологических
сил.
Сценарий — это последовательность, которая, что называется,
«соответствует
ходу вещей» или, если воспользоваться более цветистым оборотом,
«развертывается подобно свитку». Между пред
ставлением о строгости и
точности, привносимым обозначением «
» и
весьма двусмысленным и по-восточному неопределенным характером
приведенной формулировки нет противоречия. Нас занимает то, как соотносятся с формальной логикой когнитивные репрезентации,
а не реальные события. Возможно (на самом деле так оно и есть), что некоторая
система убеждений исходит из неизбежности той или иной тематической
последовательности и при этом ни в коей мере не позволяет толково объяснить, не
говоря уже о научной строгости, какие факторы
действительности ответственны за такое, а не какое-либо иное развитие
событий.
Многие идеологические, националистические и/или идеалисти ческие сценарии постулируют драматические переходы от темы к
теме, поддерживаемые безосновательными метафорами и эфемерными мотивационными построениями. Примерами могут послужить «война, которая покончит со всеми войнами», «теория домино» и т. д. Немало других примеров может быть приведено из области воспитания детей, пенитенциарной практики и т. д.
1. Простые сценарии. Когда мы пишем T1 (E; F), то должна иметься определенная договоренность, позволяющая определить, какой деятель выполняет какую роль; в асимметричных темах, какова Ti, Ti(E;F) будет отличаться от T1(F;E). На уровне собственно сценария системе безразлично содержательное заполнение ролей; но, конечно, цельная функционирующая система убеждений должна быть в состоянии пересекать границы структурных уровней. Такая система будет содержать список тем T1, Т2, ...Ti, ..., в каждой из которых будут указаны «первый деятель» и «второй деятель» (скажем, «верхний» и «нижний» на наших тематических диаграммах). Тогда обозначение Ti (E;F) будет относиться к i -ой теме, в которой Е выполняет роль первого, а F —второго деятеля. При наличии тем с более чем двумя деятелями (совершенно естественная возможность, которую мы в данной работе не исследовали) эта простая нотация может быть очевидным образом расширена.
Простые сценарии могут быть заданы одним переходом Т i—>-Тj или цепочкой переходов Ti —> Tj—>Tk. Перечислим несколько примеров такого рода, используя введенные выше темы. Подобно тому, как это было сделано с темами, сценариям могут быть даны предположительные названия.
а) Расцветание
(Blossoming).
Тема «Любовь» часто вырастает из менее интенсивных
и возмол;но не отмеченных взаимностью отношений, каковы «Преданность»
(T1),
«Восхищение» (Тг) и «Сотрудничество» (Тз).
Фиксируя только один переход, мы можем получить, например, следующее:
Т 4(Е; F)—> Т4(Е; F).
б) Отступничество
(Turncoat).
Агент, в прошлом преданный некоторому деятелю,
может по той или иной причине совершить измену:
Т 1(Е; F)—>T6(E; F).
в) Конец медового месяца. Еще один широко распространенный сценарий — умирание любви. Вставив между «Любовью» и обоюдным «Конфликтом» «Восстание» одного из партнеров как промежуточную стадию, можно получить:
Т4(Е; F) —>T8(E; F) —> Т12(Е; F).
![]()
![]()
Заметим, что этот сценарий, как и два предыдущих, характеризуется тем, что переходы осуществляются между соседними клетками Таблицы 1. Это вполне понятно, поскольку при каждом из таких переходов меняется лишь один из задающих таксономию параметров, тогда как остальные остаются без изменений.
г) М етамдрфоза ( The Worm Turns). Еще одна возможность — это перемена ролей в рамках одной темы. Так, например, может оказаться, что меняются местами стороны в теме «Господство»:
Т8(Е; F)—> T8(F; E).
д)_Реворлюция. Она. может рассматриваться как расширенный сценарий, в рамках которого шаг за шагом переворачиваются отношения «Господства» и «Подчинения». Сперва вспыхивает «Восстание», затем развивается полномасштабный «Конфликт», за которым следует «Победа» подчиненной в прошлом стороны и, наконец, оформляется новое распределение ролей:
Т8 (Е; F) —> Те (Е; F)—> Т12 (Е; F) —> Т7 (F; Е) —> Т8 (F; Е).
2. Нотация. Мы, в общем, используем ту же условную систему записи, которая была введена для объединения атомов в темы, несколько упростив ее, поскольку в данном случае нам не приходится учитывать различие типов атомов и некоторые другие специальные обстоятельства. (Деятели не указаны из соображений компактности.) а) Следствие
Ti—> Тj Тема Т] является следствием (в оговоренном
выше понимании) темы Т i.
Рис. 63
б) Множественные следствия
За темой
Ti
следуют темы
Tj,
Тк (и т. д.).
в виду, что во всех примерах ему принадлежит крайнее слева место.
а) Романтический треугольник. Любовные отношения между Е и F, имеющие место одновременно с любовными отношениями между G и F, концептуализируются как неминуемо ведущие к конфликту между Е и G. начинающемуся с взаимного антагонизма:
|
T4( E;F)
T10(
E;G) T4(
G;F)
|
Рис. 69
Этот сценарий с очевидностью может быть дополнительно расцве чен путем указания на то, кто одерживает верх в конфликте, что делается при этом с любовными отношениями и т. д.
Несколько отвлекаясь, заметим, что этот хорошо известный сценарий представляет собой исключение из «принципа баланса» [15], в соответствии с которым позитивные социальные отношения должны быть транзитивными. Например, если в приведенном сценарии заменить темы любви на темы сотрудничества, то веро ятным будет возникновение между Е и G сотрудничества, а не соперничества.
Возникает вопрос: каким образом система убеждений строит правдоподобные сценарии? Откуда она «знает», что сотрудничество транзитивно (так сказать), а романтическая любовь — нет? Один из возможных ответов заключается в том, что система учится на примерах, доступных в соответствующей культуре. Если можно статистически убедиться, что сотрудничество часто имеет место на многосторонней основе, тогда как любовь — только на двусторонней, то сценарий будет строиться в соответствии с этим наблюдением. Отчасти этот ответ справедлив, однако мы подозреваем, что здесь действуют какие-то факторы, коренящиеся в природе концептуального содержания. Содержательные детали тематических структур могут транслироваться на сценарный уровень абстракции, в результате чего устройство сценария оказывается небезразличным к концептуальным правилам тематического уровня. (Напомним, что план строится на основании правил,
в) Множественные предварительные условия
|
|
Совместное появление
тем
Ti,
Tj
(и т. д.) необходимо для того, чтобы вызвать темуТк.
|
г) Позитивный пропускной режим
|
|
Появление темы Ti необходимо для того, что бы тема Т] вызвала тему Тк.
|
д) Негативный пропускной режим
|
|
Появление темы Ti исключает для темы Tj возможность вызвать тему Тк.
|
е) Сценарный ансамбль
|
Рис.
68
|
Сценарий под названием ф (с индексом, если таких сценариев более одного) содержит те матические последовательности «подсюже-тов», открываемых темами Ti, Tj, ... (и т.д.).
|
3. Еще несколько сценариев. Введенную нотацию можно проиллюстрировать разнообразными содержательными примерами. Для краткости мы будем опускать символ ф, однако следует иметь в виду, что во всех примерах ему принадлежит крайнее слева место.
а) Романтический треугольник. Любовные отношения между Е и F, имеющие место одновременно с любовными отношениями между G и F, концептуализируются как неминуемо ведущие к конфликту между Е и G, начинающемуся с взаимного антагонизма:
Рис. 69
Этот сценарий с очевидностью может быть дополнительно расцвечен путем указания на то, кто одерживает верх в конфликте, что делается при этом с любовными отношениями и т. д.
Несколько отвлекаясь, заметим, что этот хорошо известный сценарий представляет собой исключение из «принципа баланса» [15], в соответствии с которым позитивные социальные отношения должны быть транзитивными. Например, если в приведенном сценарии заменить темы любви на темы сотрудничества, то вероятным будет возникновение между Е и G сотрудничества, а не соперничества.
Возникает вопрос: каким образом система убеждений строит правдоподобные сценарии? Откуда она «знает», что сотрудничество транзитивно (так сказать), а романтическая любовь — нет? Один из возможных ответов заключается в том, что система учится на примерах, доступных в соответствующей культуре. Если можно статистически убедиться, что сотрудничество часто имеет место на многосторонней основе, тогда как любовь — только на двусторонней, то сценарий будет строиться в соответствии с этим наблюдением. Отчасти этот ответ справедлив, однако мы подозреваем, что здесь действуют какие-то факторы, коренящиеся в природе концептуального содержания. Содержательные детали тематических структур могут транслироваться на сценарный уровень абстракции, в результате чего устройство сценария оказывается небезразличным к концептуальным правилам тематического уровня. (Напомним, что план строится на основании правил, относящихся к содержательным правилам атомарного уровня.) В частности, сценарий романтического соперничества может быть обусловлен следующими соображениями: 1) очевидной невозможностью гетеросексуальных отношений в каждой из комбинаторно выделяемых пар из множества трех лиц; 2) представлением о необходимости для F делить свой временной бюджет между Е и G, каждый из которых будет негодовать в связи с утратой постоянного доступа к предмету любви; 3) испытываемой потребности в уединении, уменьшающей вероятность выполнения условия ргох, несомненно общего для всех кооперативных тем, и т. д. Никто не знает, какое из нескольких соображений является в каж дом конкретном случае решающим, и в целом проблематика, связанная с влиянием содержания тем на структуру сценариев, заслуживает тщательного исследования. Основа такого исследо вания — вопрос о том, из каких предположений исходит система убеждений, объясняя изменения во взаимоотношениях: что, по представлениям людей, объясняет ревность, потерю и приобрете ние влияния, рост привлекательности и так далее. Эти проблемы «наивной психологии» весьма важны.
б) Альянс Принципу баланса соответствует сценарий, в котором пара накладывающихся отношений сотрудничества ведет к «Альянсу» между сторонами, имеющими общего противника.
Рис. 70
в) Спасение
(Rescue).
Понятие негативное пропускного режи
ма встречается в сценариях, предполагающих «Спасение».
Деятеля,
которому возможное
«Поражение» в борьбе с противником грозит
«Угнетением», спасает некоторая третья сторона, меняющая пугающий
результат на противоположный.

Рис. 71
Понятно, что сценариями подобного типа могут быть репрезентированы многие хорошо известные сюжеты, которым следуют социальные или политические изменения. Поскольку сценарий находится на самом верху пирамиды абстракций, постольку в него инкорпорировано множество структурных деталей, и весь этот структурный каскад часто включается одним-двумя словами (как в случае приведенных выше названий сценариев). Здесь мы имеем дело именно с тем типом тщательной упаковки концептуального материала, который существенен для наших нынешних усилий, направленных на построение на новых основаниях имитационной модели идеологии. Теперь мы возвратимся к генеральному сценарию «холодной войны», чтобы выяснить, как его можно истолковать, пользуясь введенной нотацией.
4. Сценарий «холодной войны». Напомним, что в сценарии «холодной войны» наличествовали четыре категории деятелей: С. Коммунистические страны
F. «Свободный мир»
G. «Добрые американцы»
L. Либералы и деятели левого крыла.
Генеральный сценарий φ может быть сформирован следующим образом:
Имеет место борьба между «свободным миром» и коммунистическими странами [T12 (С; F)], которую, как считают ультраправые политиканы, коммунисты в полной мере рассчитывают вести до тех пор, пока они не добьются полного контроля над миром [Т 11 (С; F)]. С точки зрения правых, либералы и левонастроенные простофили, участвующие во многих правительствах «свободного мира» [Т8 (L;F)], — это марионетки, способствующие осуществлению замыслов коммунистов. Задача «добрых американцев» — противостоять мягкотелым либералам и разоблачать их [T 12 (G; L)]. Правые считают, что, проявив решительность, сильная Америка способна избавить «свободный мир» от их влияния [Т5 (F; L)], а затем установить отношения сотрудничества с другими «свободными» народами [Тз (G; F)] с целью блокировать коммунистические заговоры и обеспечить победу «свободного мира» [T 11 (F; С)].
Этот сценарий изображен на приводимой ниже схеме. Мотивы политических деятелей скрыты в двух левых верхних темах н могут быть выявлены путем отсылки к их детализованным структурам. (T 12 и Т 8 для данной структуры убеждений; эти структуры не обязательно будут в точности совпадать с обобщенными формами, представленными в предыдущем разделе.) Причины, по которым система оптимистически предполагает, что ее враги будут разбиты, а друзья одержат победу, уточняются в данной схеме в силу появления тем «Свобода» (T5) и «Сотрудничество» (Тз). Наилучшим свидетельством превосходства данной репрезентации над использовавшейся ранее послужит новая имитация, но уже сейчас, на концептуальном уровне, ясно, что большим преимуществом новой системы является четкая кодифицированность в ней структурных связей снизу доверху, пришедшая на смену большей или меньшей произвольности.

Сценарий "холодной войны"
Ж. СТРУКТУРНЫЕ СВОЙСТВА СИСТЕМЫ УБЕЖДЕНИЙ
В ходе всего предшествующего изложения анализировались структурные возможности, сущности, которые могут появляться в универсуме понятий, относящихся к человеческим действиям и отношениям. За исключением нескольких беглых замечаний, мы не обращались к представлению о конкретной системе убеждений, выбирающей из множества структурных и содержательных возможностей некую совокупность и наделяющей эту совокупность субъективными истинностными значениями.
Мы выделяем четыре аспекта, отличающих одну систему убеждений от другой, или, так сказать, четыре характерных черты, определяющих своеобразие каждой конкретной системы убеждений. Это: 1) структурная репрезентация; 2) содержательное наполнение структур; 3) ценности; 4) экземплификация. Рассмотрим их по очереди.
1. Структурная репрезентация. Выше мы представили иерархическую систему в общем виде. Каждая конкретная система вовсе не обязательно должна быть полной или характеризоваться идентичными композиционными правилами.
Правила перехода с одного структурного уровня на другой, какими мы их представили, достаточно ясны на нижних уровнях. по мере же подъема к вершине пирамиды абстракции их ясность утрачивается. В КЗ-анализе условия, определяющие элементы и комбинирующие их в атомы, относительно недвусмысленны. Понимание концептуальной природы простых объектов и действий — их денотативного значения, так сказать — предположительно более или менее одинаково у разных людей (а также, если развить это соображение, у систем искусственного интеллекта, долженствующих по замыслу включать в себя свойственные людям знания о мире). На этом уровне места для различия особенно не остается; реально здесь следует говорить скорее о системах знаний («Превосходит ли дом по своему размеру хлебницу?», «Что значит „идти пешком"?» и т. д.), чем о системах убеждений.
На следующем уровне переход от атомов к молекулам и планам тоже относительно ясен, хотя ни в коей мере не осуществляется по определенному раз и навсегда шаблону. Мы отметили, что имеются некоторые трудности в определении каузального отношения и что понятие обеспечения возможности путем инструментального контроля разработано только для класса trans'oB. Тем не менее, мы утверждаем (учитывая необходимость в дальнейшем эмпирического обоснования сказанного), что большинство информантов в большинстве современных обществ уверенно согласятся между собой — на уровне отдельного деятеля — в том, какие виды действий каузируют какие виды состояний, и какие виды состояний обеспечивают возможность каких видов действий. Если это так, то можно будет заключить, что большинство информантов сойдутся и в мнении о том, какие планы приемлемы в качестве попыток достичь простых результатов. Другими словами, если бы мы, попросили испытуемых сформулировать простой план для приобретения некоего объекта X, то, при некоторых начальных условиях, они были бы склонны разработать построения, сходные с нашими примерами, и признать здравыми чужие аналогичные построения. Мы считаем резонным создание модели, в которой этот тип общих знаний был бы стандартизован и использовался бы независимо от заложенных в модель конкретных убеждений. Конечно, тем самым мы лишаемся возможности учитывать индивидуальные различия в изобретательности, выказываемой при построении или интерпретации планов. Эта возможность интересна, но в настоящий момент мы не выдвигаем ее на передний план.
Когда мы переходим на уровень связей между планами и темами, правила композиции становятся менее очевидными, и открывается гораздо больший простор для индивидуальных различий. Видятся по меньшей мере две главных причины этого. Число комбинаций различных способов взаимодействия двух деятелей — особенно если принимать во внимание содержательное варьирование в связанных в пары планах — столь велико, что любая таксономия будет по необходимости выборочным и отчасти произвольным членением множества возможностей. Более того, тот, кто лично вовлечен в тематические отношения, испытывает значительные затруднения при восприятии происходящего, поскольку не может быть уверен относительно реальных намерений и возможностей другой стороны. Если же оба участника тематического взаимодействия являются отличными от концептуализирующего лицами, дело может обстоять еще хуже. «Отчуждение» может быть ошибочно понято как «Восстание», «Покорность» как «Преданность», «Восхищение» как «Любовь» п т. д. Этого затруднения не возникает в случае планов, полностью находящихся под односторонним концептуальным контролем, что позволяет любому воспользоваться своими собственными планами как основанием для концептуальных обобщений. Следствием этого является то обстоятельство, что имевшие место ранее неудачи в категоризации данных, намекающих на те или иные тематические отношения, приводят к формированию в системе убеждений искаженного набора тематических структур, в котором одни типы выпячиваются за счет других.
На уровне сценариев разнообразие возможных комбинаций тем в составе сценария становится просто поразительным. Как говорилось в разделе Е, отношение «следования», сплетающее темы воедино, намного более неопределенно и потенциально идиосин-кратично, нежели «каузальное» отношение, соединяющее А- и S- атомы. Мы ожидаем поэтому, что системы убеждений будут сильно варьировать в зависимости от того, как темы в них складываются в сценарии. Одна система может придавать особый вес одному или нескольким конфронтационным сценариям типа сценария «холодной войны», направленность другой системы может характеризоваться неиссякаемым оптимизмом, так что место «Конфликта» в ней всегда будет занимать «Сотрудничество», итак далее. Для идиосинкразии имеется большой простор, и мы сомневаемся, можно ли разработать автоматическую процедуру, позволяющую системе искусственного интеллекта порождать «правильные» сценарии.
Еще более отчетливым по сравнению с варьированием способов тематического комбинирования является различие между системами убеждений, определяемое тем, имеются ли в системе сценарии или их нет вообще! Мы не видим ничего невозможного в том, чтобы развитие структурной иерархии прекращалось на тематическом уровне. Некоторые индивиды могут никогда не осущестьлять никаких концептуальных построений более абстрактных, чем те, что отражают краткосрочную тематическую динамику «порядка вещей», не чувствовать и не ожидать эволюции, перемен, преобразований. Такие системы убеждений будут неидеологическими в самом подлинном смысле. Идеологии с необходимостью предвидят изменения в «системе» отношений, связывающих главных деятелей; в этом, вероятно, и заключается основной смысл идеологий. Таким образом, не может быть идеологии без сценария. При наличии сценария, единого для некоторой данной области (например, для внешней политики), структура убеждений подготовлена к ответам на все вопросы в терминах своих не приемлющих возражений идеологических воззрений.
Не исключена, конечно, и возможность наличия нескольких сценариев для некоторой данной области. Например, специалист-международник может предвидеть одновременно закат «холодной войны», рост напряженности на Ближнем Востоке, восстание против апартеида в Африке, усиление интегративпых процессов в Западной Европе в 70-х годах и т. д. Такая система, подобно системе без сценария, также будет неидеологической, но в ином смысле. Имея множественные сценарии, система убеждений будет гибкой и способной давать ряд интерпретаций одних и тех же событий, планов или тем. Такую систему мы будем называть аналитической.
Подводя итог, постулируем, что во всех системах убеждений вплоть до уровня планов содержатся стандартизованные структурные знания, однако темы и сценарии в различных системах строятся по-разному.
2. Содержательное наполнение структур. Еще одним и, возможно, даже более важным источником варьирования систем убеждений является приписывание отдельным атомам, планам, темам и сценариям специфических деятелей или категорий деятелей. Именно это мы имеем в виду, когда апеллируем к «содержанию». Для каждой структурной конфигурации в распоряжении системы имеется перечень подходящих деятелей, и такие перечни меняются от уровня к уровню.
На атомарном уровне большинство этих перечней носят, вероятно, очень общий характер. Кто угодно, например, может быть вовлечен в физическое перемещение. В других случаях множество приемлемых деятелей может выглядеть как «кто угодно за исключением X,...». Например, потенциальным деятелем при действии «видеть» является «кто угодно за исключением слепца». Все это относится к сфере скорее общих концептуальных знаний, чем индивидуальных убеждений. Когда действия носят более спе-циальный характер, тогда более специализированным может оказаться и множество потенциальных деятелей. Кто пилотирует самолеты? Пилоты... Кто движется неестественно? Калеки и возможно комедианты... И так далее. Соответствующие представления опять же являются фрагментами определений или знаний, общих для многих людей. Только в случае очень специализированных действий и наличия ценностных соображений приемлемое содержание атома может отличать одну систему убеждений от другой. Кто убивает невинных женщин и детей. Другая сторона...
На уровне планов также имеется большое количество общих «знаний». Кто хочет нравиться? Почти все... Кто планирует длительные путешествия? Дипломаты и туристы... Кто планирует раздобыть секретные сведения? Шпионы... Кто планирует убийства политических лидеров? Психопаты и одиночки... Из последнего примера, однако, ясно, что субъективное варьирование вполне возможно. Хотя «психопаты» и «одиночки» будут аккуратной категоризацией в одной системе, в другой более подходящей была бы категоризация «заговорщики». Другими словами, имеется место для различий в приписывании отдельным планам специфических деятелей, причем различий гораздо больше, чем на атомарном уровне.
На тематическом уровне субъективное содержание еще более выражено. Кто с кем сотрудничает, кто с кем конфликтует, кто господствует, кто угнетаем и подавляем, кто изменяет своим обязательствам — все это свободно варьирует от одной системы убеждений к другой. Интересным следствием идентификации деятелей, могущих появляться в определенных ролях, является идентификация деятелей, которые в определенных ролях появляться не могут, непредставимы в них. Для многих рядовых граждан невозможно, например, представить свою страну угнетающей другие народы. (Можно предположить, что упорная близорукость американцев в отношении Вьетнама проистекала отчасти из такого рода категорического неприятия).
В еще большей степени вышеприведенные замечания относятся к уровню
сценариев. Если система убеждений является идеологической, а не аналитической,
то ей особенно свойственно приписывать конкретных исполнителей тем или иным
ролям из генерального сценария. Этому сценарий отчасти обязан зафиксированной
в нем предвзятой точкой зрения (см. также раздел о ценностях ниже). При
наличии нескольких сценариев многие из деятелей могут быть указаны конкретно,
но мыслимо и существование обобщенных сценариев (типа тех, запасом которых
располагает драматург), способных охватить широкий круг конкретных деятелей.
Короче, на всех уровнях структурной иерархии обнаруживается содержательное варьирование, сопровождающее переход от одной системы убеждений к другой, однако, на атомарном уровне это варьирование минимально, а на уровне сценариев — максимально.
3. Ценности. После того как деятель специфицирован, познающий может приписать состоянию, обозначаемому тем или иным S -атомом, некоторую ценность. Если деятель в составе S далек от познающего и/или если условия, в которых находится деятель, не представляют для познающего интереса, приписывания ценности не происходит, по если деятелем является сам познающий или кто-либо важный для него, тогда интересующим его результатам деятельности приписывается положительная либо отрицательная ценность. Позитивной ценность будет тогда, когда познающий или кто-то, с кем он себя отождествляет, оказываются тем -или иным образом ассоциированы с благоприятным результатом, либо когда противник или антипатичный деятель ассоциируются с крайне негативным результатом, чуть ли не с полным п безоговорочным уничтожением. Ценность негативна тогда, когда познающий или кто-то, с кем он себя отождествляет, ассоциируются с негативным результатом, либо когда противник или антипатичный деятель ассоциируются с позитивным результатом.
Приписывание ценностей захватывает все уровни системы убеждений. Так, планы, успешно развивающиеся в направлении положительно (отрицательно) оцениваемых S -атомов, оцениваются положительно (отрицательно). Темы, в которых оба деятеля следуют положительно (отрицательно) оцениваемым планам, оцениваются положительно (отрицательно). Темы, в которых один из протагонистов следует положительно оцениваемому, а другой— отрицательно оцениваемому планам, позволяют познающему «принять ту или иную сторону», надеяться, что его сторона преуспеет, а другая — потерпит неудачу, и испытывать соответственно восторг или отчаяние, когда результат становится известен.
Такие поляризованные темы снабжают системы убеждений важными ориентирами. Они позволяют системе интерпретировать ценностный потенциал ранее незнакомых деятелей или действий, связывая их с одним или несколькими тематическими полюсами. Можно высказать гипотезу о наличии психологической тенденции к особой вигильности по отношению к намекам, указывающим на такие утверждения, которые предполагают либо поддержку положительно или отрицательно ценного деятеля в поляризованных темах, либо оппозицию к нему. Люди склонны быстро замечать такие утверждения и с готовностью использовать их для развития наличных структур убеждений (например, включая говорящего в список приемлемых деятелей для планов, подобных входящим в состав тем). Примером здесь может послужить резкое негодование, которым, как правило, встречается критика в адрес правительства во время кризисов — на том основании, что она «помогает противнику». Можно ожидать, что системы убеждений будут различаться тем, насколько высока их чувствительность к утверждениям названного типа, соответствующая разработанности и весомости ценностей в поляризованных темах (если такие темы в них в принципе имеются).
Так как сценарии складываются из тем, естественно спросить, какие конфигурации положительно оцениваемых, отрицательно оцениваемых и поляризованных тем могут ожидаться в составе сценариев. В рамках достаточно жесткой идеологии почти наверняка существует поляризованная тема с последующей негативно оцениваемой темой, которая, в свою очередь, либо не пропускается позитивно оцениваемой темой (негативный пропускной режим, как в сценарии «холодной войны»), либо имеет следующую за ней положительно оцениваемую тему (как при обещании лучшей жизни в потустороннем мире). В случае аналитических систем очевидные ограничения на ценностные конфигурации в сценариях отсутствуют.
4. Экземплификация. Различные системы убеждений по-разному соотносятся с
многообразием «фактов» и по-разному хранят его в памяти. С точки зрения целей
настоящей работы, факт — это событие или последовательность событий, которые носитель
убеждений полагает реальными и которые экземплифици-руют структуру убеждений на
некотором уровне ее иерархической организации.
Экземплификация обычна для атомов, поскольку повседневный опыт дает немало примеров легко концептуализируемых действий и состояний. Не обязательно, однако, чтобы все атомы в структурном репертуаре системы сопровождались знанием реальных примеров. Система может быть в состоянии построить концептуализацию, в которой некоторый деятель, допустим, поедает кузнечиков или страдает истерической слепотой, не располагая знанием ни об одном конкретном случае такого действия или состояния. Просто «говорят, что такое бывает». Другими словами, овладение некоторыми концептуальными структурами, обучение им может осуществляться сугубо символически, а не путем извлечения их из конкретных примеров. (Все, что относится к способам овладения концептуальными структурами, перспективно для психологического исследования. Анализ некоторых особенностей извлечения концептуальных структур из примеров, см. [5; 20].)
Изредка системе убеждений случается быть уведомляемой и о таких фактах, для которых в пей не предусмотрено подобающей структурной позиции (например, «Наши убивали младенцев во Вьетнаме»). Система может справиться с такими примерами, расширив свой структурный репертуар, однако если пример неудобен в силу наличия неприятных ценностных импликаций, то новое содержательное наполнение структур может не быть допущено на более высокие, по сравнению с атомарным, уровни структурной иерархии («Наши убивали младенцев, но мы, в отличие от другой стороны, не планировали этого»).
На уровне планов экземплификация, вероятно, несколько более редка, чем на атомарном. Чужие замыслы не всегда понятны, многие действия наблюдаются при отсутствии знаний об их результатах, а многие результаты — при отсутствии знаний о действиях. Можно, однако, вывести примеры планов из примеров действий или же получить примеры планов из вторых рук.
Непосредственное наблюдение становится еще менее важным на тематическом уровне, поскольку количество подлежащих одновременному наблюдению параметров выходит в данном случае за пределы когнитивных возможностей. Соответственно, более важными источниками становятся индукция на основании взаимо-соотнесенных планов и рассказы, в которых даются примеры тем, хотя некоторые темы в некоторых системах убеждений могут быть экземплифицированы скудно или не экземплифицированы вовсе.
Наконец, сценарии по всей вероятности, не очень обильно представлены примерами, хотя, казалось бы, необходимо, чтобы идеология пропагандировала по крайней мере один генеральный пример исторической реализации генерального сценария (а внутри этого примера — ряд подпрнмеров, использующих различные содержательные оттенки тем).
Для обращения к примеру на одном из верхних уровней вовсе не обязательно, чтобы он «просматривался» вплоть до атомарного уровня. Экземплификационный остов системы, таким образом, может быть не слишком жестким, п примеры, используемые на нижних уровнях, могут отличаться от примеров, предполагаемых для подкомпонентов структур высших уровней. Более тщательно продуманные системы, идеологические и аналитические, будут проявлять большую аккуратность при согласовании примеров на различных уровнях, задавая тем самым еще один параметр, по которому могут различаться системы убеждений.
5. К вопросу о функционировании новой имитационной модели.
Во второй части данной работы шла речь о структуре, а не о процессе. Мы постулировали подробно разработанную потенциальную систему иерархических структурных уровней с четко определенными композиционными правилами на нижних уровнях и менее строгими — на верхних, установив при этом, что одна такая система отличается от другой в терминах допустимых структур, содержательных категорий, ценностных ориентиров и особенностей экземплификации. О том, как может работать модель, использующая эту новую систему, мы пока ничего не сказали.
Хотя детальное обсуждение выходит за рамки настоящей работы, представляется важным вкратце изложить наши намерения. Построение уровневой модели создает некоторые сложности, поскольку существует немало проблем, относящихся к связи между уровнями, равно как и нередких разногласий при определении того, на каком уровне система должна работать. Но в то же время четко спланированная иерархия обеспечивает возможность разумной, систематической реакции, отсутствовавшую ранее; в этом, собственно говоря, и заключался весь смысл построения структурной иерархии.
Так, первоначальный вариант «идеологической машины» был устроен таким образом, что не исключал, например, положительного ответа на вопрос о правдоподобности совершенно нереального, с точки зрения знаний о материальном устройстве мира, события — достаточно было только, чтобы это событие соответствовало представлениям о природе того или иного политического деятеля. Система готова была признать возможность непосредственного участия идеологически враждебного деятеля в событиях, происходящих на другом (по отношению к этому деятелю) конце земного шара на том лишь основании, что эти события не соответствуют интересам носителя моделируемой идеологии и что они могут быть идентифицированы как проявления допустимого, с точки зрения участия рассматриваемого деятеля, родового события. «Идеологи-зированность» первого варианта системы была чрезмерной и не склонной считаться не только с тонкостями политической конъюнктуры, но и с самыми основными категориями здравого смысла. Включение этих категорий в новый вариант системы (на его нижних уровнях — например, в виде условия ргох) делает возможным моделирование более осмысленных реакций — скажем, апеллирующих к понятию агентности и всему, что с ним связано.
В связи с этим примером необходимо отметить две важные черты, которые хотя и несколько причудливы, по отнюдь не аномальны для того типа вычислений, которые могут потребоваться от системы, имитирующей «рыцаря холодной войны».
Во-первых, в дополнение к предвзятым убеждениям, которые придают системе ее «холодно-воинственный» характер, система обращается к множеству разнообразных знаний. Это информация о концептуальной совместимости; это событийная память; это специфическая информация о том, что некоторое положение дел чинит помеху Западу; это список обеспечивающих условий для того или иного действия; наконец (или не наконец, если ответ должен быть более тонким), должна иметься географическая карта или ее эквивалент, чтобы отсутствие пространственной близости могло быть установлено. Такое изобилие информации необходимо для в достаточной мере специфицированного простого ответа, и, конечно, требования усложняются во много раз при использовании любого концептуального словаря пристойного размера. И никуда от этого не денешься — в малом объеме не может быть достоверной имитации системы убеждений.
Во-вторых, гипотетический процесс порождения ответа включает операции, осуществляемые как «снизу вверх», так и «сверху вниз». Система перескакивает с одного уровня на другой и обратно, отыскивая либо нечто, соответствующее описанию, либо описание, соответствующее чему-то (см. обсуждение Шенком разницы между парсерами, работающими «снизу вверх» и «сверху вниз» [26, гл. 5]). Хотя сконструировать отдельный пример таким образом, чтобы минимизировать перескакивание с одного уровня на другой, не составляет труда, не вызывает сомнений и то, что в общем случае модель системы убеждений должна иметь развитые возможности межуровновой коммуникации.
В дополнение к проблемам коммуникации между уровнями существуют проблемы, связанные с выбором уровня, на котором должны производиться концептуальные операции. Другими словами, сам вопрос может быть сформулирован на уровне атомов, планов, тем или сценариев. Но ответ не обязательно должен принадлежать тому же уровню, что и вопрос. Система может обратиться к обобщениям в ответ на частный вопрос, и причина этого может заключаться в том, что она с легкостью находит общий ответ и сталкивается с трудностями, переводя его обратно в специфическую форму. Мы предполагаем, что ответ будет находиться в структурной иерархии выше вопроса тогда, когда на карту поставлены системные ценности и/или когда данная категория деятеля представлена в системе убеждений на уровне сценариев. С другой стороны, система может извлечь на поверхность множество детализированных примеров в ответ на вопрос общего уровня. Вероятность этого можно предположить в том случае, когда данный деятель на сценарном уровне не категоризован, но в памяти хранится известное количество событийных примеров, в которых он фигурирует.
Эти гипотезы являются психологическими предположениями относительно вероятных тенденций в выборе ответа, зависящем от того, что система знает, так и от того, какой познавательный интерес она предполагает у спрашивающего. Эмпирическое изучение такого рода предположений должно будет продолжаться одновременно с машинной реализацией охарактеризованной в общих чертах имитационной модели.
ПРИМЕЧАНИЯ
1 В дополнение к тем, кто выступал в качестве моих соавторов, я бы хотел назвать также Уильяма Райнфельда, Уильяма Джонсона и, наконец, Серля Уитни, который за последнее время внес существенный вклад в работу, результаты которой представлены в первой части главы.
2 На самом деле, наиболее приемлемые формы этой проверочной процедуры устроены сложнее. Имитация параноидальной личности, предпринятая Колби и его сотрудниками [см. 9, гл. 6], может послужить хорошей иллюстрацией модели, которая достигла начальных ступеней такого рода процедуры обоснования.
3 Автор весьма обязан профессору Станли Милгрему, настаивающему на важности понятия агеятности (agency) в социальной психологии.
ЛИТЕРАТУРА
[I] Abelson R. P. Computer simulation of social behavior. In: G. Lind- zey and E. Aronson (Eds.). The Handbook of Social Psychology. Vol. II. Reading (Mass.), 1968.
[2]A b e 1 s о n R. P. Psychological implication. — In: [3].
[3] Abelson R. P., Aronson E., McGuire W., N e w с о m b Т., Rosenberg M. and Tannenbaum P. (Eds.) Theories of Cognitive Consistency. A Sourcebook. N.-Y., 1968.
[4] A b e 1 s о n R. P., С a rr о 1 J. D. Computer simulation of individual belief systems. — "American Behavioral Scientists", vol. 8, 1965, p. 24—30. [5] A b e 1 s о n R. P., К a n о u s e D. E. The subjective acceptance of verba] generalizations. — In: E. F e 1 d m a n (Ed.) Cognitive Consistency: Motivational Antecedents and Behavioral Consequents. N.-Y., 1966.
[6] Abelson R. P., R e i с h CM. Implicational modules: A method for extracting meaning from input sentences. — In: D. A. Walker and L. M. N n r-t о n (Eds.) Proceedings of the International Joint Conference on Artificial Intelligence. Boston, 1969.
[7] Anderson N. H. A simple model for information integration. — In: [3].
[8] A x e 1 г о d R. How people make sence out of a complex world. — American Political Science Review", vol. 9, 1973.
[9] Colby K. M. Simulations of belief systems. — In: S с h a n k R. C. and Colby К. М. (Eds.) Computer Models of Thought and Language. San Francisco, 1973.
[10] De Soto C, Albrecht F. Conceptual good figures. In: [3].
[II] Fe stinger L. A Theory of Cognitive Dissonance. Stanford, 1957. [Фрагментарный рус. пер.: Л. Фестингер. Введение в теорию диссонанса.— В кн.: Современная зарубежная социальная психология. М., 1984.]
[12] Garner W. R, Good patterns have few alternatives. — "American Scientist", vol. 58, 1970, p. 34—42.
[13] Hammond K. R., Summers D. A. Cognitive dependence on linear and non-linear cues. — "Psychological Review", vol. 72, 1965, p. 215—224.
[14] HararyF., Norman R. Z., Cartwright D. Structural Models: An Introduction to the Theory of Oriented Graphs. N.-Y., 1965.
[15] H e i de r F Attitudes and cognitive ogranization. — "Journal of Psychology", vol. 21, 1946, p. 107-112.
[16] Hewitt C. PLANNER: A language for proving theorems in robots. — In: D. E. Walker and L. M. Norton (Eds.) Proceedings of the International Joint Conference on Artificial Intelligence. Boston, 1969.
[17] Jervis R. (in press): Perception and Misperception in Internationa] Politics. Princeton, 1976.
[18] Jones E. E., Rock L., Shaver K. G., Goethals G. R. and W a r d L. M. Pattern of performance and ability attribution: An unexpected primary effects. — "Journal of Personality and Social Psychology", vol. 10, 1968.
[19] Kahneman D., Tver sky A. Subjective probability: a judgement of representativeness. — "Cognitive Psychology", vol. 3, 1972, p. 430—454.
[20] Kanouse D. E. Language, labeling and attribution. — In: E. E. J o-n e s et al. (Eds.) Attribution: Percieving the Causes of Behavior. N.-Y., 1972.
[21] Mandler G. Organization and memory. In: The Psycho-Learning and Motivation. Vol. I. N.-Y.—L., 1967.
[22] Mil gram S. The experience of living in cities. — "Science", vol. 167, 1970, p. 1461—1468.
[23] Miller G. A. The magical number seven, plus or minus two. — "Psychological Review", vol. 63, 1956, p. 81—97. [Рус. пер.: Дж. Миллер. Магическое число семь, плюс или минус два. — В кн.: Инженерная психоло гия. М., 1964.] , ,
[24] Miller G. A., G а 1 a n t е г Е., Р г i b r a m К. М. Plans and the Structure of Behavior. N.-Y., 1960. [Рус. пер.: Д ж. Миллер, Э. Г а л а н т е р, К. П р и б р а м. Планы и структура поведения. М., 1964.]
[25] N е i s s e r U. Cognitive Psychology. N.-Y., 1967.
[261 S с h a n k R. С. Identification of conceptualizations underlying natural language. — In: R. C. S с h a n k and К. М. Colby. Computer Models of Thought and Language. San Francisco, 1973.
[27] Shapiro M. J., Bonham G. M. Cognitive processes and foreign-policy decision making. — "International Studies Quarterly", vol. 17, 1973.
[28] Winograd T A procedural model of language understanding. — In: R. С S с h a n k and К. М. С о 1 b у (Eds.) Computer Models of Thought and Language. San Francisco, 1973.
[29] Y n t e m a D. В., Т о r g e r s о n W. S. Man-computer cooperation in decisions requiring common sense. — In: IEEE Transactions on Human Factors in Electronics (HFE-2), 1964, p. 20-26.
[301 [Книга включена в библиографию составителями.] Р. Ш е н к. Обработка концептуальной информации. М., 1980.
[По техническим причинам в некоторых рисунках допущены опечатки. Необходимо учесть следующие поправки: на рис 9 п 10 левая вертикальная стрелка - тройная; на рис. 12 от «Агент, F» к «Е> идет двойная стрелка; на рис. 13 — вертикальная стрелка к «желать»; на рис. 20 трехглавая стрелка помечена указателем Д; па рис. 25 не черта, а стрелка вверх; на рис. 39 Sl3, а не S12; на рис. 47 А и S{ соединены чертой; на рис. 52 Z знак « + » в нижнем прямоугольнике — пунктир: па рис. 54 цели оооих деятелей S*, в т. ч. в нижнем прямоугольнике; па рпс. 62 в верхней строке Р'. в нижней Р, нижний прямоугольник помочен goalob- (E; So). — Прим. перев.]
Стр. 307. ...те, кто, подобно К. Дойчу... — Карл Дойч (1912—1980) – американский ученый-политолог.
i
Р. Абельсон. Структуры убеждений. Роберт Абельсон (р. 1928) — профессор Йельского университета (США), по первоначальным своим интересам — специалист по социальной психологии. Включенная в сборник работа находится на пересечении двух исследовательских традиций. С одной стороны, это одна из первых (и повсеместно упоминаемая в последующих исследованиях) попыток применить метод компьютерного моделирования к изучению политического мышления, с другой стороны — значительный вклад в когитологию, одна из первых иерархических моделей понятийных структур. Работа над «идеологической машиной» положила начало сотрудничеству Абельсона с Р. Шенком и его группой, результатом которого стала книга: S с h a n k R. С, А Ь е 1 s о n R. P. Plans, Scripts, Goals and Understanding. Hillsdale, 1977. а также ряд работающих систем понимания политических текстов; впоследствии идеи Шенка и Абельсона были воплощены Дж. Карбонелом в системе POLITICS (см. кн.: Inside Computer Understanding. Hillsdale, 1981).
Стр. 317. Первая часть данной главы... — В переводе сохранена апелляция автора к своей работе и другим статьям из одного с ней сборника как к главам коллективной монографии.
...о когнитивном соответствии и процессах каузальной атрибуции... — Автор называет две наиболее влиятельные (и отчасти связанные отношением преемственности) концепции, сложившиеся в рамках когнитивистски ориентированной социальной психологии. Теория, точнее теории, когнитивного соответствия исследуют влияние противоречий («несоответствий», «дисбаланса», «диссонанса») в когнитивной системе человека (конфликт мнений, ценностей и т. д.) на его деятельность. Теория каузальной атрибуции интересуется причинной интерпретацией, даваемой людьми поведению окружающих. Подробнее см., например, хрестоматию: Современная зарубежная социальная психология. Тексты. М., 1984.
Стр. 332—333. ...в случае попыток Ральфа Нейдера захватить контрольный пакет акций «Дженерал моторе»... — Р. Нейдер (р. 1934) — американский юрист и общественный деятель, известен своими выступлениями в защиту гражданских и экономических прав рядовых американцев перед лицом федеральных ведомств и монополий; впервые получил известность в 1965 г. после выхода направленной против «Дженерал моторе» и ее продукции книги «Опасен на любой скорости».
Стр. 335. Обратимся теперь к рассмотрению различных разновидностей планов. — Раздел «Разъяснение понятия инструментального контроля», в котором иллюстрируется контроль за действиями класса «trans» (а по сути дела, толкуются понятия перемещения, получения и передачи физических и ментальных сущностей), рассматривается автором как факультативный; в переводе он опущен.
Стр. 341. ...логический формализм типа ЛИСП-нотации... — При компьютерной реализации моделей диаграммы переводятся в выражения высокоуровневых языков программирования; в системах искусственного интеллекта, так или иначе работающих с естественным языком, чаще всего используется язык ЛИСП — в силу специфических преимуществ, обеспечиваемых им при работе с большими списочными массивами.
Стр. 347..... мы в рабочем порядке назовем их лабиринтами... — Перевод
условный; в оригинале используется авторский пеологизм gatework, где gate 'ворота, задвижка', a work — непродуктивный формант, ср. net и network 'сеть', frame и framework 'рамка, структура'. Gatework, следовательно, — это нечто типа 'система (из) ворот'.
X. Р. Олкер. Диалектическая логика «Мелосского диалога» Фукидида.
Хейуорд Р. Олкер-мл. (р. 1937) — американский политолог, профессор Массачусетсского технологического института. В течение последнего десятилетия деятельность возглавляемой им группы и его лично была направлена на разработку такой методологии социальных наук (и, в частности, науки о международных отношениях), которая отвечала бы критериям научной строгости и при этом не основывалась бы на далеко зашедшей редукции объекта исследования и учитывала бы безусловно признаваемую автором специфику гуманитарного знания. В рамках этих методологических изысканий разрабатывался проект по применению рефлексивных логик для изучения дилемм безопасности, был выполнен ряд работ по теории аргументации (к их числу относится настоящая статья). С начала 80-х гг. совместно с Олкером работала известная специалистка но искусственному интеллекту Венди Ленерт: ими была предпринята попытка применить идеи макроструктурного анализа нарративных текстов (в т. ч. евангельских) для объяснения механизма их воздействия на человеческое сознание, а также их кулыурообразующих функций. Вторая из включенных в наст, сборник статей Олкера содержит постановку соответствующей задачи; технические средства ее решения предложены в работах Ленерт, а обсуждение первых результатов — в статье: А 1 k e r H. R., L e h n e r t W. G., Schneider D. К. Two reinterpretations of Toynbee's 'Jesus': Explaration in computational hermeneutics. — In: "Artifical Intelligence and Text-Understanding", ed. by G. Tonfoni ("Quaderni di Ricerca Linguistica", 6). Parma, 1985.
Стр. 282. ...у приверженцев школы политического реализма... — Политический реализм — наиболее влиятельное течение в послевоенной американской науке о международных отношениях. Основоположник данной школы — Ганс Моргентау (1904—1985); в идейном плане «реалисты» возводят свои взгляды к Т. Гоббсу и Н. Макиавелли и порой к Фукидиду, что оспаривается Олкером. Основной тезис «реализма», утвердившегося в США не в последнюю очередь под влиянием краха предвоенной политики «умиротворения» Германии, состоит в признании того, что решающим фактором международных отношений является (широко понимаемая) «мощь» (power) государств; при своем формировании «реализм» противопоставлял себя «идеализму», апеллирующему к «морали» и «праву». Подробнее см., например, коллективную монографию «Современные буржуазные теории международных отношений». М., 1976.
Стр. 283. ...и не софистика «дипломатического» толка... В этом месте хорошо заметно противопоставление «исконного» понимания софистики как философского течения, во многом подготовившего развитие диалектики лозднейшего негативно-оценочного понимания.
...и современных «неореалистов»... Используя в позднейшей (сентябрь 1987 г.) редакции статьи (учесть ее полностью оказалось невозможно по техническим причинам) термин «неореализм», автор ссылается на его трактовку в сб. «Neorealism and its Critics», ed. by R. Keohane. N.-Y., 1986. Если не вдаваться в подробности, то «неореализм» — это результат методологической ратификации «реалистической» концепции в результате т. н. -(Великих дебатов» 60—70-х гг., начавшихся с нападок «модернистов» (преимущественно под бихевиористскими знаменами) на «традиционалистов».
Стр. 284. ...отнюдь не позитивистски... — Как известно, одним из существенных позитивистских положений является отрицание возможности научного подхода к этическим проблемам.
...исследователями проблем мира... — Исследование проблем мира (Peace Research) в западной политологии понимается терминологически, как обозначение исследовательского направления.